|
查看: 2415|回复: 4
|
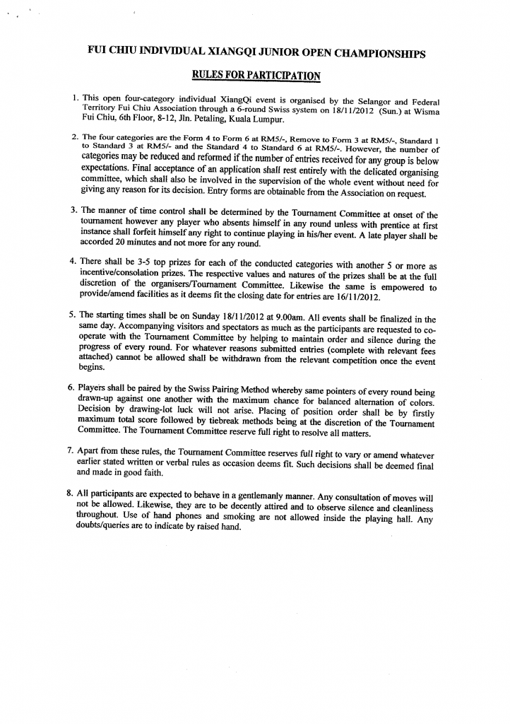
第13届(2012年)惠州杯学生象棋竞标赛
[复制链接]
|
|
|
日期:2012年11月18日(日)
地点:雪隆惠州会馆6楼礼堂
电话:03-20782704/03-20702025
传真:03-20322106
有意参加者,请致电查询或报名!
|
|
|
|
|
|
|
|
|
|
|

楼主 |
发表于 5-11-2012 09:18 PM
|
显示全部楼层
|
|
|
|
|
|
|
|
|
|

楼主 |
发表于 5-11-2012 09:23 PM
|
显示全部楼层
|
|
|
|
|
|
|
|
|
|
发表于 6-11-2012 12:20 PM
|
显示全部楼层
惠州重新办比赛了吗?
我五年级参加到form5的,可是就是不给我一个冠军。。。 |
|
|
|
|
|
|
|
|
|
|
发表于 6-11-2012 08:42 PM
|
显示全部楼层
|
哈哈,看来我比你幸运,从form1 到form4, 至少我还拿过一次冠军 |
|
|
|
|
|
|
|
|
| |
本周最热论坛帖子
|