|
|
发表于 3-10-2010 09:51 AM
|
显示全部楼层
哪一题?
Allmaths 发表于 3-10-2010 01:49 AM 
三题都要。 |
|
|
|
|
|
|
|
|
|
|
发表于 3-10-2010 10:02 AM
|
显示全部楼层
回复 ultikiller
认的出是ACE AHEAD的书~
小弟来解12题吧~
x^2 + mx + n = 0, ratio of roots>a ...
kelfaru 发表于 3-10-2010 02:09 AM 
请问下你怎么知道是用(α + β)^2 = m^2呢? |
|
|
|
|
|
|
|
|
|
|
发表于 3-10-2010 11:08 AM
|
显示全部楼层
第12题是吗?打勾的那个。
(ps:*是power of 2)
as roots in ratio a:b
and x*+mx+n=0 ...
Feldman 发表于 3-10-2010 02:19 AM 
看不懂。 |
|
|
|
|
|
|
|
|
|
|
发表于 3-10-2010 11:22 AM
|
显示全部楼层
求解。
ultikiller 发表于 3-10-2010 01:42 AM 
一个比较正统的方式...
 |
|
|
|
|
|
|
|
|
|
|
发表于 3-10-2010 11:26 AM
|
显示全部楼层
一个比较正统的方式...
Allmaths 发表于 3-10-2010 11:22 AM 
请问下你是用电脑打出来的? |
|
|
|
|
|
|
|
|
|
|
发表于 3-10-2010 11:31 AM
|
显示全部楼层
请问下你是用电脑打出来的?
ultikiller 发表于 3-10-2010 11:26 AM 
是的... |
|
|
|
|
|
|
|
|
|
|
发表于 3-10-2010 11:37 AM
|
显示全部楼层
求解。
ultikiller 发表于 3-10-2010 01:42 AM 
第11题...
 |
|
|
|
|
|
|
|
|
|
|
发表于 3-10-2010 11:41 AM
|
显示全部楼层
一个比较正统的方式...
Allmaths 发表于 3-10-2010 11:22 AM 
怎么用了quadratic formula就算到了?
root in ratio a:b 跟quadratic formula有什么间接关系? |
|
|
|
|
|
|
|
|
|
|
发表于 3-10-2010 11:44 AM
|
显示全部楼层
怎么用了quadratic formula就算到了?
root in ratio a:b 跟quadratic formula有什么间接关系?
ultikiller 发表于 3-10-2010 11:41 AM 
quadratic formula就是用来找quadratic的root... |
|
|
|
|
|
|
|
|
|
|
发表于 3-10-2010 11:47 AM
|
显示全部楼层
一个比较正统的方式...
Allmaths 发表于 3-10-2010 11:22 AM 
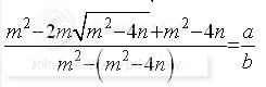
请问下这行怎么做出来的?
 |
|
|
|
|
|
|
|
|
|
|
发表于 3-10-2010 11:49 AM
|
显示全部楼层
请问下这行怎么做出来的?
ultikiller 发表于 3-10-2010 11:47 AM 
rationalize 它的denominator... |
|
|
|
|
|
|
|
|
|
|
发表于 3-10-2010 11:55 AM
|
显示全部楼层
quadratic formula就是用来找quadratic的root...
Allmaths 发表于 3-10-2010 11:44 AM 
1)找root的方法除了factorization及quadratic formula还有什么方法能找到root呢?
2)Completing square method什么时候能拿来做什么呢? |
|
|
|
|
|
|
|
|
|
|
发表于 3-10-2010 12:00 PM
|
显示全部楼层
1)找root的方法除了factorization及quadratic formula还有什么方法能找到root呢?
2)Completing s ...
ultikiller 发表于 3-10-2010 11:55 AM 
1)用计算机...
2)基本上, quadratic formula就是从completing the square prove出来的..
Completing the square is used in |
|
|
|
|
|
|
|
|
|
|
发表于 3-10-2010 12:08 PM
|
显示全部楼层
一个比较正统的方式...
Allmaths 发表于 3-10-2010 11:22 AM 
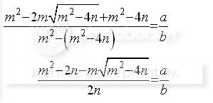
请教运算方法。
 |
|
|
|
|
|
|
|
|
|
|
发表于 3-10-2010 12:17 PM
|
显示全部楼层
求解。
ultikiller 发表于 3-10-2010 01:42 AM 
第十题求解。 |
|
|
|
|
|
|
|
|
|
|
发表于 3-10-2010 12:18 PM
|
显示全部楼层
请教运算方法。
ultikiller 发表于 3-10-2010 12:08 PM 
有学过怎样rationalize denominator吗?
 |
|
|
|
|
|
|
|
|
|
|
发表于 3-10-2010 01:16 PM
|
显示全部楼层
请问下你怎么知道是用(α + β)^2 = m^2呢?
ultikiller 发表于 3-10-2010 10:02 AM 
小弟是直接看出来的,
因为PROVING那边有着(a+b)^2,而它的ratio又刚好是a:b,α:β,所以用(α + β)^2的identity~ |
|
|
|
|
|
|
|
|
|
|
发表于 3-10-2010 01:25 PM
|
显示全部楼层
有学过怎样rationalize denominator吗?
Allmaths 发表于 3-10-2010 12:18 PM 
有。刚才运算时写错而造成算不到。 = = |
|
|
|
|
|
|
|
|
|
|
发表于 3-10-2010 01:34 PM
|
显示全部楼层
|
|
|
|
|
|
|
|
|
|
发表于 3-10-2010 01:36 PM
|
显示全部楼层
请教运算方法。完全没头绪。
ultikiller 发表于 3-10-2010 01:34 PM 
factorise 右手边... |
|
|
|
|
|
|
|
|
| |
本周最热论坛帖子
|