|
|
发表于 2-10-2010 10:39 PM
|
显示全部楼层
Chapter 2 : Polynomials
在考试中如果突然忘了右边的换算方法,有没有最快的解决方案?
ultikiller 发表于 2-10-2010 10:17 PM 
记得一边就好。。。
(1)(a+b)^2=a^2+2ab+b^2
a^2+b^2=(a+b)^2-2ab
(2)(a+b)^3=a^3+3a^2b+3ab^2+b^3
a^3+b^3=(a+b)^3-3a^2b-3ab^2
a^3+b^3=(a+b)^3-3ab(a+b)
(3)(a-b)^2=a^2-2ab+b^2
(a-b)^2+4ab=a^2-2ab+b^2+4ab
a^2+2ab+b^2=(a-b)^2-4ab
(a+b)^2=(a-b)^2-4ab |
|
|
|
|
|
|
|
|
|
|
发表于 2-10-2010 10:45 PM
|
显示全部楼层
本帖最后由 Allmaths 于 2-10-2010 11:36 PM 编辑
Chapter 2 : Polynomials
求解。
ultikiller 发表于 2-10-2010 10:27 PM 
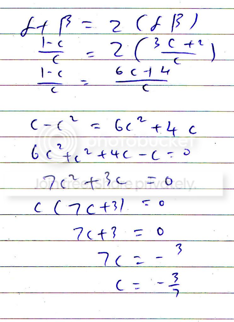
cx^2-(1+c)x+3c+2=0
x^2-[(1+c)/c]x+[(3c+2)/c]=0
S.O.R=(1+c)/c
P.O.R=(3c+2)/c
Given: S.O.R=2(P.O.R)
(1+c)/c=2(3c+2)/c
1+c=6c+4
c=-3/5 |
|
|
|
|
|
|
|
|
|
|
发表于 2-10-2010 11:16 PM
|
显示全部楼层
怎么我算到的是这样?
 |
|
|
|
|
|
|
|
|
|
|
发表于 2-10-2010 11:24 PM
|
显示全部楼层
Chapter 2 : Polynomials
在考试中如果突然忘了右边的换算方法,有没有最快的解决方案?
ultikiller 发表于 2-10-2010 10:17 PM 
方程不是用背的,是要理解的...
小弟在考试从没被过这个方程...
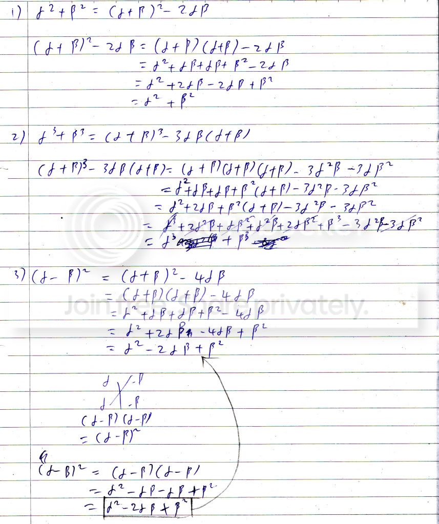
其实很容易看出来,
a^2+b^2=(a+b)^2 -2ab
看看RHS,
(a+b)^2 = a^2 + b^2 + 2ab
把RHS减掉2ab成a^2 + b^2
a^3 + b^3 = (a+b)^3 -3ab(a+b)
看看RHS,
(a+b)^3 = a^3 + b^3 + 3a^2b + 3ab^2
= a^3 + b^3 + 3ab(a+b)
把RHS减掉3ab(a+b)成a^3 + b^3
(a-b)^2 = a^2 + b^2 - 2ab
看看RHS,加4ab成
=a^2 + b^2 + 2ab
=(a+b)^2
一样的道理,要变成(a-b)^2就减回去4ab成
=(a-b)^2 = (a+b)^2 - 4ab
数学是活的,别靠死背,酱学习数学一点也没趣~ |
|
|
|
|
|
|
|
|
|
|
发表于 2-10-2010 11:31 PM
|
显示全部楼层
怎么我算到的是这样?
ultikiller 发表于 2-10-2010 11:16 PM 
α+β=(1+c)/c 不是 (1-c)/c |
|
|
|
|
|
|
|
|
|
|
发表于 2-10-2010 11:37 PM
|
显示全部楼层
不好意思。。。打错符号。。。 |
|
|
|
|
|
|
|
|
|
|
发表于 2-10-2010 11:46 PM
|
显示全部楼层
cx^2-(1+c)x+3c+2=0
x^2-[(1+c)/c]x+[(3c+2)/c]=0
S.O.R=(1+c)/c
P.O.R=(3c+2)/c
Given: S ...
Allmaths 发表于 2-10-2010 10:45 PM 
请问two roots怎么做? |
|
|
|
|
|
|
|
|
|
|
发表于 3-10-2010 12:01 AM
|
显示全部楼层
本帖最后由 ultikiller 于 3-10-2010 02:20 PM 编辑
无聊东西分享下。
 |
|
|
|
|
|
|
|
|
|
|
发表于 3-10-2010 12:10 AM
|
显示全部楼层
其实不用背的,做久了你一看就懂了 |
|
|
|
|
|
|
|
|
|
|
发表于 3-10-2010 12:16 AM
|
显示全部楼层
请问two roots怎么做?
ultikiller 发表于 2-10-2010 11:46 PM 
sub c=-3/5 回去original equation 就可以找到了... |
|
|
|
|
|
|
|
|
|
|
发表于 3-10-2010 12:18 AM
|
显示全部楼层
请问two roots怎么做?
ultikiller 发表于 2-10-2010 11:46 PM 
所谓的2 roots,就是你所谓的α和β,
α是一个root,β是另一个root,
如果这题要找root的话,可以用quadratic formula~
positive 是一个root,negative 是另一个root~ |
|
|
|
|
|
|
|
|
|
|
发表于 3-10-2010 12:27 AM
|
显示全部楼层
做了个无聊东西分享下。
ultikiller 发表于 3-10-2010 12:01 AM 
重点是在differ by 3... |
|
|
|
|
|
|
|
|
|
|
发表于 3-10-2010 12:29 AM
|
显示全部楼层
所谓的2 roots,就是你所谓的α和β,
α是一个root,β是另一个root,
如果这题要找root的话,可以用quad ...
kelfaru 发表于 3-10-2010 12:18 AM 

答案是1,1/3。怎么我会算到 -2/3, 1/3? |
|
|
|
|
|
|
|
|
|
|
发表于 3-10-2010 12:33 AM
|
显示全部楼层
重点是在differ by 3...
kelfaru 发表于 3-10-2010 12:27 AM 
不是应该放-3么?还是那是差别的量而不是数值的差别?
 |
|
|
|
|
|
|
|
|
|
|
发表于 3-10-2010 12:34 AM
|
显示全部楼层
|
|
|
|
|
|
|
|
|
|
发表于 3-10-2010 12:35 AM
|
显示全部楼层
答案是1,1/3。怎么我会算到 -2/3, 1/3?
ultikiller 发表于 3-10-2010 12:29 AM 
你还不明白formula,
α+β是sum of 2 roots
αβ是product of 2 roots
你找到的是sum of 2 roots
和product of 2 roots...
找到的不是roots而是两个roots的相加和相乘~ |
|
|
|
|
|
|
|
|
|
|
发表于 3-10-2010 12:37 AM
|
显示全部楼层
答案是1,1/3。怎么我会算到 -2/3, 1/3?
ultikiller 发表于 3-10-2010 12:29 AM 
这样做的话只能找到S.O.R和P.O.R...S.O.R是由两个root加起来...而P.O.R是由两个root连乘...
所以要把c=-3/5代入cx^2-(1+c)x+3c+2=0 里...然后用quadratic formula...
cx^2-(1+c)x+3c+2=0
(-3/5)x^2-(1-3/5)x+3(-3/5)+2=0
-3x^2-2x+1=0
3x^2+2x-1=0
(3x-1)(x+1)=0
x=1/3, -1 |
|
|
|
|
|
|
|
|
|
|
发表于 3-10-2010 12:40 AM
|
显示全部楼层
不是应该放-3么?还是那是差别的量而不是数值的差别?
ultikiller 发表于 3-10-2010 12:33 AM 
α和β相差3
α-β可以是3或-3
为了方便,把MODULUS放进去,
所以lα-βl肯定是POSITIVE SIGN,
lα-βl=3
如果不明白这里有个例子,
6-3=3
3-6=-3
因为你不知道α和β哪个大哪个小,所以
l3-6l=3
l6-3l=3 |
|
|
|
|
|
|
|
|
|
|
发表于 3-10-2010 12:46 AM
|
显示全部楼层
α和β相差3
α-β可以是3或-3
为了方便,把MODULUS放进去,
所以lα-βl肯定是POSITIVE SIGN,
lα ...
kelfaru 发表于 3-10-2010 12:40 AM 
怎么肯定lα-βl是POSITIVE SIGN? |
|
|
|
|
|
|
|
|
|
|
发表于 3-10-2010 12:47 AM
|
显示全部楼层
回复 1817# Allmaths
话说用
α+β=-2/3
αβ=-1/3
搬来搬去,
也一样可做到~ |
|
|
|
|
|
|
|
|
| |
本周最热论坛帖子
|