|
|
发表于 29-9-2010 09:54 PM
|
显示全部楼层
回复 1780# Allmaths
第二题polynomial会吗? |
|
|
|
|
|
|
|
|
|
|
发表于 29-9-2010 09:56 PM
|
显示全部楼层
回复 Allmaths
第二题polynomial会吗?
hongji 发表于 29-9-2010 09:54 PM 
会... |
|
|
|
|
|
|
|
|
|
|
发表于 29-9-2010 10:02 PM
|
显示全部楼层
第一的应该做不到
2) (3x^2+5x)/(1-x^2)(1+x)^2=A/(1-x)+B/(1+x)+c/(1+x)^2+D/(1+x)^3
(3x^2+5x ...
peaceboy 发表于 28-9-2010 09:42 PM 
噢第二个才是对的
谢谢
还有一个。。if (x-2) is factor of p(x)-5
so 2=p(x)-5
=2-5
=-3 这样吗? |
|
|
|
|
|
|
|
|
|
|
发表于 29-9-2010 10:05 PM
|
显示全部楼层
|
|
|
|
|
|
|
|
|
|
发表于 29-9-2010 10:24 PM
|
显示全部楼层
这个我没做过
没做过square root
做过那些factor:x-2这样
看来还要多练习
hongji 发表于 29-9-2010 10:05 PM 
其实都一样的...如果√2 是其中一个zero...(x-√ 2) 和 (x+√ 2)就是p(x)的factor 了... |
|
|
|
|
|
|
|
|
|
|
发表于 29-9-2010 11:15 PM
|
显示全部楼层
噢第二个才是对的
谢谢
还有一个。。if (x-2) is factor of p(x)-5
so 2=p(x)-5
=2-5
...
hongji 发表于 29-9-2010 10:02 PM 
[p(x)-5] / (x-2)=g(x)
p(x)=(x-2)g(x)+5
P(2)=5 |
|
|
|
|
|
|
|
|
|
|
发表于 30-9-2010 01:07 AM
|
显示全部楼层
其实都一样的...如果√2 是其中一个zero...(x-√ 2) 和 (x+√ 2)就是p(x)的factor 了...
Allmaths 发表于 29-9-2010 10:24 PM 
另两个应该是IMAGINARY~ |
|
|
|
|
|
|
|
|
|
|
发表于 30-9-2010 09:15 AM
|
显示全部楼层
想请教一下...........
1)a student saves his pocket money with the intention to buy an encyclopedia set costing RM1200.If he saves RM50 in the bank each month and the bank pays him an interest of ½ % per month , how many months has he got to saves before he can afford to buy the encyclopedia?
2)a house buyer borrow RM50000 from a bank to buy a house which costs RM70000. The rate of interest charged by the bank is 9% per annum ,and is calculated based on the amount outstanding at the beginning of each year. The house buyer is required to repay his loan in monthly installments for a period of 15 years. Assuming that the rate of interest is fixed for the entire duration of the loan ,find the amount per month he has to repay the bank .
3)find the coefficient of terms in as indicated in the following expansions.
(1+x^2)(2-3x)^7, term in x^3
4)expand the following function as a series in ascending powers of x up to and including the term in x^3. State the range of value of x for the expansion is valid
a)(1+x+x^2)^-1
b)(1-x-2X^2)^5
5)find the sum to the nth term of geometric series 108+60+33/ 1/3+…….if s is the smallest number which exceeds this for all values of n ,find the value of s .find also the smallest value of n such that the sum of the series exceeds 99% of the values of s. |
|
|
|
|
|
|
|
|
|
|
发表于 30-9-2010 11:40 PM
|
显示全部楼层
本帖最后由 peaceboy 于 1-10-2010 12:16 AM 编辑
想请教一下...........
1)a student saves his pocket money with the intention to buy an encyclopedia ...
long_sign 发表于 30-9-2010 09:15 AM 
1)a student saves his pocket money with the intention to buy an encyclopedia set costing RM1200.If he saves RM50 in the bank each month and the bank pays him an interest of ½ % per month , how many months has he got to saves before he can afford to buy the encyclopedia?
S1 = 50+(0.005)50
= 50(1+0.005)
=50(1.005)
S2 = 50 +S1+ 0.005(50+S1)
=(50+S1)(0.005+1)
=50(1.005)+1.005(S1)
= 50(1.005)+50(1.005)^2
S3 = 50+S2+ (0.005)S2
=(50+S2) (0.005+1)
=50(1.005)+1.005(S2)
=50(1.005)+50(1.005)^2+50(1.005)^3
....
....
Sn=50(1.005)+50(1.005)^2+50(1.005)^3+.....+50(1.005)^n
a(r^n -1)/(r-1) = 1200
a=50(1.005) , r=1.005
自己算 
2)a house buyer borrow RM50000 from a bank to buy a house which costs RM70000. The rate of interest charged by the bank is 9% per annum ,and is calculated based on the amount outstanding at the beginning of each year. The house buyer is required to repay his loan in monthly installments for a period of 15 years. Assuming that the rate of interest is fixed for the entire duration of the loan ,find the amount per month he has to repay the bank
S1=50 000 (1.09) -12P , P=pay back per month
S2= S1(1.09)-12P
= 1.09[50 000 (1.09) -12P]-12p
= 50000(1.09)^2 - 12p(1.09)-12P
S3=1.09S2 - 12P
= 1.09[50000(1.09)^2 - 12p(1.09)-12P] -12P
= 50000(1.09)^3 -12p(1.09)^2-
12p(1.09)-12P
=50000(1.09)^3 -(12P+12P(1.09)+12P(1.09)^2)
...
...
S15 = 50000(1.09)^15 - (12P+12P(1.09)+12P(1.09)^2+......+12P(1.09)^14)
where
12P+12P(1.09)+12P(1.09)^2+......+12P(1.09)^14
a=12P
r=1.09
n=14
然后sum of GP的formula
50000(1.09)^15 - (12P+12P(1.09)+12P(1.09)^2+......+12P(1.09)^14) =0
找P
3)find the coefficient of terms in as indicated in the following expansions.
(1+x^2)(2-3x)^7, term in x^3
(1+x^2)(2-3x)^7=(1)(2-3x)^7 +(x^2)(2-3x)^7
(1)(2-3x)^7 , T5 = 7C4(2)^4(-3x)^3
= 7C4(2)^4(-3)^3(x)^3
(x^2)(2-3x)^7, T8= (x^2)(7C7)(2)^7(-3x)
=
(7C7)(2)^7(-3)x^3
coefficient = 7C4(2)^4(-3)^3 + (7C7)(2)^7(-3)
4)expand the following function as a series in ascending powers of x up to and including the term in x^3. State the range of value of x for the expansion is valid
a)(1+x+x^2)^-1
1+(-1)(x+x^2) + [(-1)(-2)/2!] (x+x^2)^2 + [(-1)(-2)(-3)/3!] (x+x^2)^3 = ...自己expand
l x+x^2 l<= 1
-1<x+x^2 <1
-1<x+x^2 , x+x^2 <1
x^2 +x +1>0 x^2 +x -1<0
b^2-4ac <0 -1.618<x<0.618
x can be any real number
so for the expansion to be valid , -1.618<x<0.618
b)(1-x-2X^2)^5
(1-x-2X^2)^5= (1-(x+2x^2))^5
= 1+5C1 (-(x+2x^2)) +5C2 (-(x+2x^2))^2 + 5C3 (-(x+2x^2))^3+....
自己expand
for the expansion to be valid , x can be any real number
5)find the sum to the nth term of geometric series 108+60+33/ 1/3+…….if s is the smallest number which exceeds this for all values of n ,find the value of s .find also the smallest value of n such that the sum of the series exceeds 99% of the values of s
a=108
r=60/108 = 5/9
sum to n = 108[1-(5/9)^n ] / [1-5/9]
sum to infinity = 108 / (1-5/9)
=108/(4/9)
=243
108[1-(5/9)^n ] / [1-5/9] = 0.99(243)
自己找n
大家都在考试,有点懒惰 |
|
|
|
|
|
|
|
|
|
|
发表于 1-10-2010 10:13 PM
|
显示全部楼层
有1个G.P. Series的第p,第q,第r term的value分别是a,b,c.
Prove: [a^(q-r)][b^(r-p)][c^(p-q)]=1 |
|
|
|
|
|
|
|
|
|
|
发表于 1-10-2010 10:55 PM
|
显示全部楼层
回复 1790# Lov瑜瑜4ever
ley x = 1st term
y = ratio
xy^(p-1)=a ---1
xy^(q-1)=b ---2
xy^(r-1)=c --- 3
1/2 , y^(p-q)=a/b
y=(a/b)^(1/(p-q))---4
2/3 = y^(q-r)=b/c
y=(b/c)^(1/(q-r))---5
4=5 ,
(a/b)^(1/(p-q))=(b/c)^(1/(q-r))
(a/b)^(q-r)=(b/c)^(p-q)
a^(q-r)c^(p-q) = b^[(p-q)+(q-r)]
=b^(p-r)
[a^(q-r)c^(p-q)]/ b^(p-r) =1
a^(q-r)c^(p-q) b^(r-p)=1
[a^(q-r)][b^(r-p)][c^(p-q)]=1 proven |
|
|
|
|
|
|
|
|
|
|
发表于 2-10-2010 08:06 AM
|
显示全部楼层
回复 Lov瑜瑜4ever
ley x = 1st term
y = ratio
xy^(p-1)=a ---1
xy^(q-1)=b ---2
xy^(r- ...
peaceboy 发表于 1-10-2010 10:55 PM 
thx。。。 |
|
|
|
|
|
|
|
|
|
|
发表于 2-10-2010 03:56 PM
|
显示全部楼层
Chapter 7 : Differentiation

为什么是减? |
|
|
|
|
|
|
|
|
|
|
发表于 2-10-2010 04:03 PM
|
显示全部楼层
Chapter 7 : Differentiation
为什么是减?
ultikiller 发表于 2-10-2010 03:56 PM 
是加来的... |
|
|
|
|
|
|
|
|
|
|
发表于 2-10-2010 05:05 PM
|
显示全部楼层
是加来的...
Allmaths 发表于 2-10-2010 04:03 PM 
书本出错么? |
|
|
|
|
|
|
|
|
|
|
发表于 2-10-2010 07:21 PM
|
显示全部楼层
书本出错么?
ultikiller 发表于 2-10-2010 05:05 PM 
平常事... |
|
|
|
|
|
|
|
|
|
|
发表于 2-10-2010 08:25 PM
|
显示全部楼层
Chapter 2 : Polynomials

求解。 |
|
|
|
|
|
|
|
|
|
|
发表于 2-10-2010 08:56 PM
|
显示全部楼层
Chapter 2 : Polynomials
求解。
ultikiller 发表于 2-10-2010 08:25 PM 
3x^2-px+2=0
x^2-(p/3)x+(2/3)=0
S.O.R=p/3, P.O.R=2/3
Let first root=a second root=2a
S.O.R=a+2a
p/3=3a
a=p/9 ---eq 1
P.O.R=a(2a)
2/3=2a^2
Sub eq 1,
2/3=2(p/9)^2
p^2=27
p=+-(27)^(1/2) |
|
|
|
|
|
|
|
|
|
|
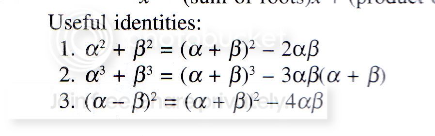
发表于 2-10-2010 10:17 PM
|
显示全部楼层
Chapter 2 : Polynomials

在考试中如果突然忘了右边的换算方法,有没有最快的解决方案? |
|
|
|
|
|
|
|
|
|
|
发表于 2-10-2010 10:27 PM
|
显示全部楼层
Chapter 2 : Polynomials

求解。 |
|
|
|
|
|
|
|
|
| |
本周最热论坛帖子
|