|
|
发表于 6-5-2005 08:01 PM
|
显示全部楼层
winintosh 于 6-5-2005 02:10 PM 说 :
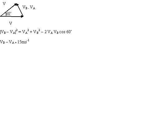
谢谢:)
不过有点不明白,为何change in velocity = 15ms-1 ?

change in velocity的definition是final velocity - initial velocity
如果你会vector的话,你就比较明白了. |
|
|
|
|
|
|
|
|
|
|
发表于 20-8-2005 12:04 PM
|
显示全部楼层
大家来分享stpm物理在今年(2005)所要注重的地方吧!!
或有什么tips可以放上来让大家分享。。。
独乐乐不如众乐乐!!!
谢谢哦。。。我是来自吉打的stpm生,2005 年。。。也就是今年考试的!!
谢谢大家上来分享!!! |
|
|
|
|
|
|
|
|
|
|
发表于 20-8-2005 01:43 PM
|
显示全部楼层
wave 和 sound wave
[ 本帖最后由 gsan 于 25-5-2006 08:32 PM 编辑 ] |
|
|
|
|
|
|
|
|
|
|
发表于 7-10-2005 11:17 AM
|
显示全部楼层
原帖由 雨的王子 于 20-8-2005 12:04 PM 发表
大家来分享stpm物理在今年(2005)所要注重的地方吧!!
或有什么tips可以放上来让大家分享。。。
独乐乐不如众乐乐!!!
谢谢哦。。。我是来自吉打的stpm生,2005 年。。。也就是今年考试的!!
谢谢大家上 ...
你是吉打那里的?
我是sungai petani的。
upper6,从photon到完那边读一下,肯定有一题essay的。 |
|
|
|
|
|
|
|
|
|
|
发表于 16-11-2005 08:52 AM
|
显示全部楼层
我是high school bukit mertajam的学生。
我得到的资料是:
YOUNGMODULUS
INTERMOLECULES FORCES
THERMAL
RADIATION |
|
|
|
|
|
|
|
|
|
|
发表于 25-5-2006 08:33 PM
|
显示全部楼层
原帖由 gsan 于 20-8-2005 01:43 PM 发表
wave 和 sound wave
给我猜中,果然有出essay  |
|
|
|
|
|
|
|
|
|
|
发表于 15-12-2006 09:00 PM
|
显示全部楼层
呃,怎么沉到这么低。。。
帮你们物理的一把,把它顶上去。。。。 |
|
|
|
|
|
|
|
|
|
|
发表于 20-7-2008 11:27 PM
|
显示全部楼层
|
|
|
|
|
|
|
|
|
|
发表于 21-7-2008 04:42 PM
|
显示全部楼层
|
我也来顶下,我今年就读 lower 6=P 发现 Physic 好像不是很容易这样== 和form 4 form 5 有段距离>< 可以大概告诉我需要较注重什么课吗? |
|
|
|
|
|
|
|
|
|
|
发表于 22-7-2008 03:58 PM
|
显示全部楼层
|
哈哈。。以前时常拿八九十分。。现在只拿五六十分。。唉。。 |
|
|
|
|
|
|
|
|
|
|
发表于 22-7-2008 07:39 PM
|
显示全部楼层
对咯。。。很大的不一样。。。
你们学校多人拿phy吗? |
|
|
|
|
|
|
|
|
|
|
发表于 22-7-2008 09:25 PM
|
显示全部楼层
原帖由 suntreater 于 21-7-2008 04:42 PM 发表 
我也来顶下,我今年就读 lower 6=P 发现 Physic 好像不是很容易这样== 和form 4 form 5 有段距离>< 可以大概告诉我需要较注重什么课吗?
SPM的物理得确和STPM的不一样。SPM的物理比较注重concept,比如问你一的现象,然后要你回答这个现象和那一个物理理论有关。STPM的物理就比较多数学,你要知道一个formula怎样来,这个formula又可以derive出那一些formula。Differentiation和Integration要比较强。
至于要注重什么课,我可以告诉你全部都要读,因为这个是STPM。如果要拿A的话,要全部都要读。如果只求pass的话,分析pass year出什么就好了。有些chapter是一定要score的。做练习时,尝试分析题目的类型,然后你就会发现来来去去都是那个pattern而已,跑不远,除非是你们那年超级不幸运。
我记得我中六刚开始读物理的时候也是不知道要怎样读,因为和SPM的真的相差太远了。不过久了你就会习惯。还有养成不明就要发问的好习惯,我刚开始时因为不要意思发问,所以很多不懂,弄到考试成绩很差。后来硬起头皮去找老师,再慢慢摸索问问题的技巧。问问题也是有技巧的,不然就浪费老师和你的时间。 |
|
|
|
|
|
|
|
|
|
|
发表于 23-7-2008 02:04 PM
|
显示全部楼层
我也是很害羞当要问老师问题。。。。 |
|
|
|
|
|
|
|
|
|
|
发表于 4-1-2009 11:04 PM
|
显示全部楼层
回复 152# cold_spoon 的帖子
我要问的,你都解释了。相信我不适合这一科。。我不爱思考物理的concept。
无论如何,谢谢你。  |
|
|
|
|
|
|
|
|
|
|
发表于 5-1-2009 11:02 AM
|
显示全部楼层
stpm physics,formula一定要会,基本上要会两个步骤,
1)会记
2)会 derive
因为会记不会运用没有用
会derive不会记,考试没有那么多时间给你慢慢derive |
|
|
|
|
|
|
|
|
|
|
发表于 5-1-2009 11:02 AM
|
显示全部楼层
原帖由 stuuupid90 于 23-7-2008 02:04 PM 发表 
我也是很害羞当要问老师问题。。。。
尝试放上来吧,我们尽量帮你 |
|
|
|
|
|
|
|
|
|
|
发表于 5-1-2009 11:05 AM
|
显示全部楼层
原帖由 cold_spoon 于 22-7-2008 09:25 PM 发表 
SPM的物理得确和STPM的不一样。SPM的物理比较注重concept,比如问你一的现象,然后要你回答这个现象和那一个物理理论有关。STPM的物理就比较多数学,你要知道一个formula怎样来,这个formula又可以derive出那一些 ...
记得以前我一直问老师,问同学,结果毕业校刊那变称我为question prince |
|
|
|
|
|
|
|
|
|
|
发表于 10-2-2009 09:57 PM
|
显示全部楼层
|
我急需prove gravitation force 的那chapter,麻烦pm我。。谢谢 |
|
|
|
|
|
|
|
|
|
|
发表于 12-2-2009 01:04 PM
|
显示全部楼层
原帖由 csanthemum 于 10-2-2009 09:57 PM 发表 
我急需prove gravitation force 的那chapter,麻烦pm我。。谢谢
你是指F=GMm/r^2?
那个formula不是proof来的
而是experiment和观察做出来的结果
听说好像是做梦时周公跟他说的 |
|
|
|
|
|
|
|
|
|
|
发表于 12-2-2009 01:51 PM
|
显示全部楼层
回复 157# yuefei 的帖子
羡慕,以前我一直问老师但她都无法回答,是新老师,无奈啊 |
|
|
|
|
|
|
|
|
| |
本周最热论坛帖子
|