|
|
发表于 21-1-2010 09:09 PM
|
显示全部楼层
回复 141# walrein_lim88
De Moivre Theorem further math
( cos θ + i sin θ)^n= cos nθ + i sin nθ |
|
|
|
|
|
|
|
|
|
|
发表于 22-1-2010 12:21 AM
|
显示全部楼层
prove (cos A + 2cos2A + cos 3A) / ( cos A + cos 2A + cos 3A ) = -cot^2 (A/2)
(sin A + sin B - sin ( A + B) ) / ( sin A + sin B + sin ( A + B) = tan(A/2)tan(B/2)
(1- cos 2A + cos 4A - cos 6A) / (sin 2A - sin4A + sin 6A) = tan 3A |
|
|
|
|
|
|
|
|
|
|
发表于 22-1-2010 04:59 PM
|
显示全部楼层
prove (cos A + 2cos2A + cos 3A) / ( cos A + cos 2A + cos 3A ) = -cot^2 (A/2)
(sin A ...
哈比人 发表于 22-1-2010 12:21 AM 
 |
|
|
|
|
|
|
|
|
|
|
发表于 22-1-2010 05:10 PM
|
显示全部楼层
prove (cos A + 2cos2A + cos 3A) / ( cos A + cos 2A + cos 3A ) = -cot^2 (A/2)
(sin A ...
哈比人 发表于 22-1-2010 12:21 AM 
 |
|
|
|
|
|
|
|
|
|
|
发表于 22-1-2010 05:11 PM
|
显示全部楼层
第一个有错误。。
你可以TEST 下,
试试看用A=10,会发现两边答案不一样。 |
|
|
|
|
|
|
|
|
|
|
发表于 9-2-2010 03:48 PM
|
显示全部楼层
|
|
|
|
|
|
|
|
|
|
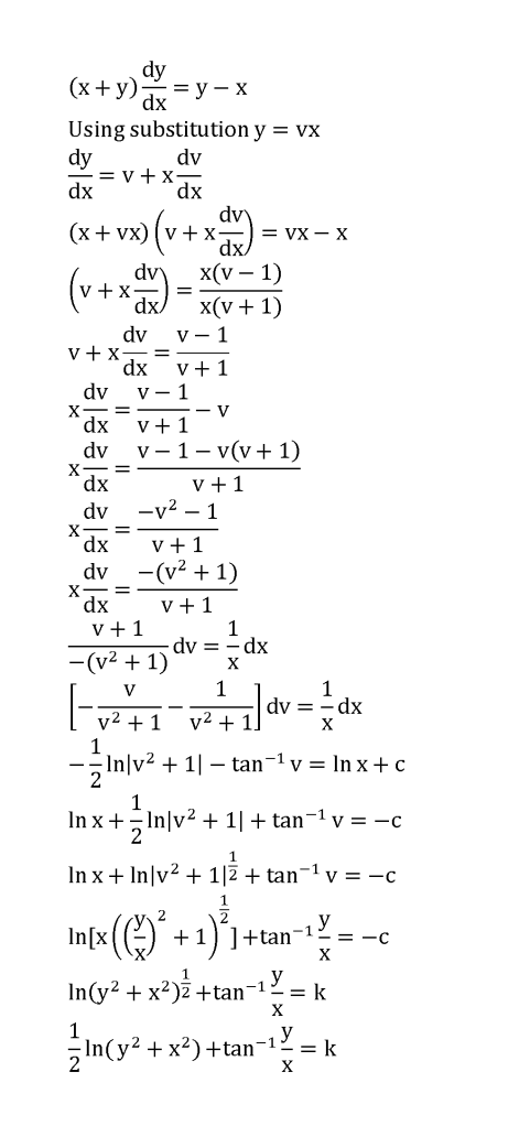
发表于 9-2-2010 10:28 PM
|
显示全部楼层
數學神童 发表于 9-2-2010 03:48 PM 

答案应该不可能是y=k,因为如果y=k,然后dy/dx=0 就不等于(y-x)/(x+y) |
|
|
|
|
|
|
|
|
|
|
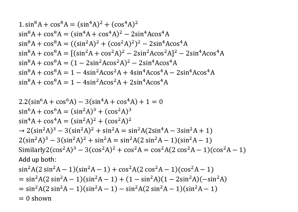
发表于 4-3-2010 11:34 PM
|
显示全部楼层
urgent, next week exam, 我还没有动过paper 2 ..
show that
1. sin^8 A + cos^8 A = 1-4sin^2 Acos^2 A +2sin^4 Acos^4 A
2. 2(2sin^6 A+cos^6 A)-3(sin^4 A + cos^4 A)+1=0 |
|
|
|
|
|
|
|
|
|
|
发表于 5-3-2010 12:27 PM
|
显示全部楼层
please,can anyone help me to solve the question or not?
urgent!
9 cards with digit 1,2,3,4,5,6,7,8,9 is chosen one by one.4 card will be selected and the numbers get will be times up(product will form).find the number of ways that
a)without repeatition
i.product form are multiple of 4
ii.product form are multiple of 6
iii.square root of the product form is positive integer
iv.cube root of the product form is positive integer
b)with repeatition
i.product form are multiple of 4
ii.product form are multiple of 6
iii.square root of the product form is positive integer
iv.cube root of the product form is positive integer
some of the answer maybe 0 ways(i think).
can someone solve the question and show me how to solve it.thank you for those who try to solve the problem. |
|
|
|
|
|
|
|
|
|
|
发表于 5-3-2010 03:09 PM
|
显示全部楼层
|
|
|
|
|
|
|
|
|
|
发表于 5-3-2010 03:27 PM
|
显示全部楼层
|
|
|
|
|
|
|
|
|
|
发表于 5-3-2010 04:20 PM
|
显示全部楼层
|
|
|
|
|
|
|
|
|
|
发表于 5-3-2010 04:33 PM
|
显示全部楼层
|
|
|
|
|
|
|
|
|
|
发表于 5-3-2010 06:08 PM
|
显示全部楼层
|
|
|
|
|
|
|
|
|
|
发表于 5-3-2010 07:49 PM
|
显示全部楼层
|
|
|
|
|
|
|
|
|
|
发表于 5-3-2010 09:47 PM
|
显示全部楼层
|
|
|
|
|
|
|
|
|
|
发表于 5-3-2010 10:35 PM
|
显示全部楼层
回复 157# Lov瑜瑜4ever
什么做法??? |
|
|
|
|
|
|
|
|
|
|
发表于 6-3-2010 07:57 AM
|
显示全部楼层
|
|
|
|
|
|
|
|
|
|
发表于 7-3-2010 12:38 AM
|
显示全部楼层
VABCD is a right pyramid whose base ABCD is a square.
Find the angle between the plane VAB and VBC given that AB=10 cm and the height of the pyramid is 12 cm |
|
|
|
|
|
|
|
|
|
|
发表于 7-3-2010 10:39 AM
|
显示全部楼层
|
|
|
|
|
|
|
|
| |
本周最热论坛帖子
|