|
|
发表于 18-7-2010 08:23 PM
|
显示全部楼层
回复 Lov瑜瑜4ever
勉强来说还过得去, 看用什么角度去看...
有答案吗?
whyyie 发表于 18-7-2010 04:05 PM 
就是没有答案
哈哈 |
|
|
|
|
|
|
|
|
|
|
发表于 18-7-2010 08:39 PM
|
显示全部楼层
回复 1440# peaceboy
surd of x-1... 哈哈
不好意思讓你看到Blurblur |
|
|
|
|
|
|
|
|
|
|
发表于 18-7-2010 09:02 PM
|
显示全部楼层
回复 peaceboy
surd of x-1... 哈哈
不好意思讓你看到Blurblur
芭樂 发表于 18-7-2010 08:39 PM 
所以问题是
if y = 1/[ [(x-1)^(1/2)] *5(sin x)], find dydx when x = pie /2?
首先let [(x-1)^(1/2)] *5(sin x) = u
du/dx = [(x-1)^(1/2)]5cosx + 5(sin x)[(1/2) [(x-1)^(-1/2)] ]
= [(x-1)(5 cos x ) + (5/2)(sin x)] / [(x-1)^(1/2)]
then y = 1/u
dy/du = - 1/u^2
= -1/ {[(x-1)^(1/2)] *5(sin x)}^2
=-1/ 25(x-1)(sin x)^2
dy/dx = dy/du * du/dx
=-1/ 25(x-1)(sin x)^2 * [(x-1)(5 cos x ) + (5/2)(sin x)] / [(x-1)^(1/2)]
sub, x=pie /2
懒惰算....大概是这样了 |
|
|
|
|
|
|
|
|
|
|
发表于 18-7-2010 09:09 PM
|
显示全部楼层
回复 1443# peaceboy
Er...你曲解了
其實是1/[sqroots (x-1)] sin x
我朋友教我了
謝謝你的大恩大德 |
|
|
|
|
|
|
|
|
|
|
发表于 18-7-2010 09:12 PM
|
显示全部楼层
回复 peaceboy
Er...你曲解了
其實是1/[sqroots (x-1)] sin x
我朋友教我了
謝謝你的大恩大德
芭樂 发表于 18-7-2010 09:09 PM 
我多了一个5
不过做的方法也八九不离十... |
|
|
|
|
|
|
|
|
|
|
发表于 18-7-2010 11:06 PM
|
显示全部楼层
walrein是天才来的
大家应该找他solve才对嘛 |
|
|
|
|
|
|
|
|
|
|
发表于 24-7-2010 06:44 PM
|
显示全部楼层
1)If p and q are positive numbers prove that
(1-p)(1-q)>1-p-q
If p,q,and r are positive real numbers, with at least one of them less than unity,
prove that
(1-p)(1-q)(1-r)>1-p-q-r
2)Express (√p + q√r)^2 in the form a+b√c .Without evaluating the square root
or using calculator, show that √10 + 2√2<6 |
|
|
|
|
|
|
|
|
|
|
发表于 24-7-2010 08:22 PM
|
显示全部楼层
回复 1447# blazex
不明白这句"with at least one of them less than unity"
 |
|
|
|
|
|
|
|
|
|
|
发表于 26-7-2010 02:47 PM
|
显示全部楼层
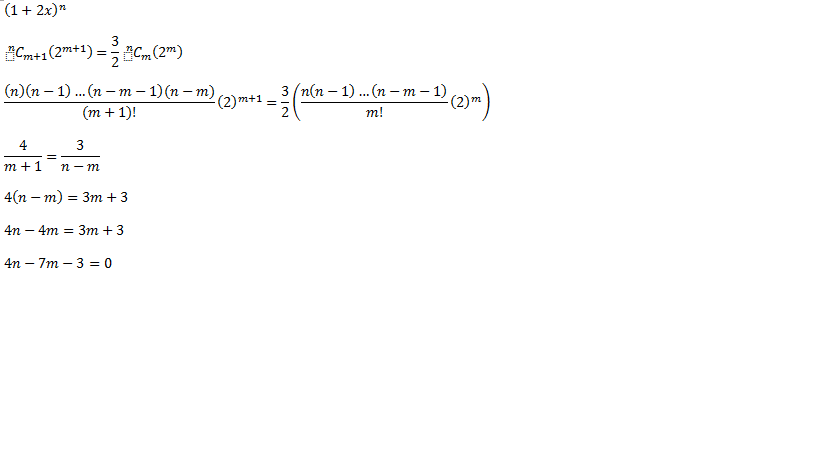
1.Let m and n be positive integers, where m <=n. If the expansion of ( 1 + 2x)^n thr coefficient of x^(m+1) is 3/2 times the coefficient of x^m, show that and n satisfy 4n - 7m - 3 =0
谢谢 |
|
|
|
|
|
|
|
|
|
|
发表于 26-7-2010 05:00 PM
|
显示全部楼层
1.Let m and n be positive integers, where m
vick5821 发表于 26-7-2010 02:47 PM 
 |
|
|
|
|
|
|
|
|
|
|
发表于 26-7-2010 05:15 PM
|
显示全部楼层
回复 1450# walrein_lim88
I dun understand the part how n! will finally got (n- m)?? |
|
|
|
|
|
|
|
|
|
|
发表于 26-7-2010 08:12 PM
|
显示全部楼层
|
|
|
|
|
|
|
|
|
|
发表于 26-7-2010 09:04 PM
|
显示全部楼层
回复 1452# peaceboy
thanks you..can I have your msn address?? |
|
|
|
|
|
|
|
|
|
|
发表于 26-7-2010 09:06 PM
|
显示全部楼层
回复 peaceboy
thanks you..can I have your msn address??
vick5821 发表于 26-7-2010 09:04 PM 
我很懒惰开msn的说 ... peace_loong@hotmail.com |
|
|
|
|
|
|
|
|
|
|
发表于 26-7-2010 09:21 PM
|
显示全部楼层
|
how he get 4 and 3 up there?? |
|
|
|
|
|
|
|
|
|
|
发表于 26-7-2010 09:28 PM
|
显示全部楼层
how he get 4 and 3 up there??
vick5821 发表于 26-7-2010 09:21 PM 
扣除了 nC(m+1) 和 nCm
所以左边和右边剩下......
2^(m+1) = (3/2) 2^m
(2^m)(2^1) = (3/2) 2^m
2= 3/2
4 = 3 |
|
|
|
|
|
|
|
|
|
|
发表于 26-7-2010 09:33 PM
|
显示全部楼层
回复 1456# peaceboy
Ok..understand..thank you..I confused abt the coefficient of nth term and coefficient of x..apply same formula? |
|
|
|
|
|
|
|
|
|
|
发表于 26-7-2010 09:37 PM
|
显示全部楼层
|
|
|
|
|
|
|
|
|
|
发表于 26-7-2010 09:45 PM
|
显示全部楼层
|
I know..but how to differentitate which formula to use if they mention abt coefficient of x and another case is coefficient of term? |
|
|
|
|
|
|
|
|
|
|
发表于 26-7-2010 10:39 PM
|
显示全部楼层
|
对不起。。。真的很忙。。。不过有人帮你解释就好了~~~ |
|
|
|
|
|
|
|
|
| |
本周最热论坛帖子
|