|
|
发表于 29-12-2009 05:12 PM
|
显示全部楼层
oooooo...icic.u so geng leh..thank you very much!!!!!!!!!!h
kenchuan 发表于 29-12-2009 05:09 PM 
谢谢咯,你是哪里人?? |
|
|
|
|
|
|
|
|
|
|
发表于 29-12-2009 11:06 PM
|
显示全部楼层
回复 122# walrein_lim88
森美兰的人,哈哈,你呢? |
|
|
|
|
|
|
|
|
|
|
发表于 29-12-2009 11:09 PM
|
显示全部楼层
回复 walrein_lim88
森美兰的人,哈哈,你呢?
kenchuan 发表于 29-12-2009 11:06 PM 
KL人 |
|
|
|
|
|
|
|
|
|
|
发表于 5-1-2010 12:26 PM
|
显示全部楼层
不懂有没有用,给你们参考吧。

 |
|
|
|
|
|
|
|
|
|
|
发表于 10-1-2010 02:25 PM
|
显示全部楼层
find the equation of locus of a moving point such that sum of the squares of its distance from points (2,0) and (-2,0) is equal to 72 units.
if use te formula of distance between two points,cannot find te answer, |
|
|
|
|
|
|
|
|
|
|
发表于 10-1-2010 06:52 PM
|
显示全部楼层
|
|
|
|
|
|
|
|
|
|
发表于 10-1-2010 06:52 PM
|
显示全部楼层
|
|
|
|
|
|
|
|
|
|
发表于 10-1-2010 06:52 PM
|
显示全部楼层
|
|
|
|
|
|
|
|
|
|
发表于 10-1-2010 06:56 PM
|
显示全部楼层
|
|
|
|
|
|
|
|
|
|
发表于 10-1-2010 06:58 PM
|
显示全部楼层
|
|
|
|
|
|
|
|
|
|
发表于 10-1-2010 07:10 PM
|
显示全部楼层
回复 126# kenchuan
ans. x²+y²+4=36 is it? |
|
|
|
|
|
|
|
|
|
|
发表于 10-1-2010 07:15 PM
|
显示全部楼层
find the equation of locus of a moving point such that sum of the squares of its distance from point ...
kenchuan 发表于 10-1-2010 02:25 PM 
 |
|
|
|
|
|
|
|
|
|
|
发表于 10-1-2010 07:35 PM
|
显示全部楼层
对,x²+y²=32
我整么没看到的36-4=32
下次一定要小心 |
|
|
|
|
|
|
|
|
|
|
发表于 10-1-2010 07:38 PM
|
显示全部楼层
对,x²+y²=32
我整么没看到的36-4=32
下次一定要小心
Log 发表于 10-1-2010 07:35 PM 
小心咯。。你的MATHS 应该很厉害,90+吧。 |
|
|
|
|
|
|
|
|
|
|
发表于 20-1-2010 11:16 PM
|
显示全部楼层
教我
prove sec2A - tan 2A = tan(45 - A) |
|
|
|
|
|
|
|
|
|
|
发表于 20-1-2010 11:32 PM
|
显示全部楼层
教我
prove sec2A - tan 2A = tan(45 - A)
哈比人 发表于 20-1-2010 11:16 PM 
 |
|
|
|
|
|
|
|
|
|
|
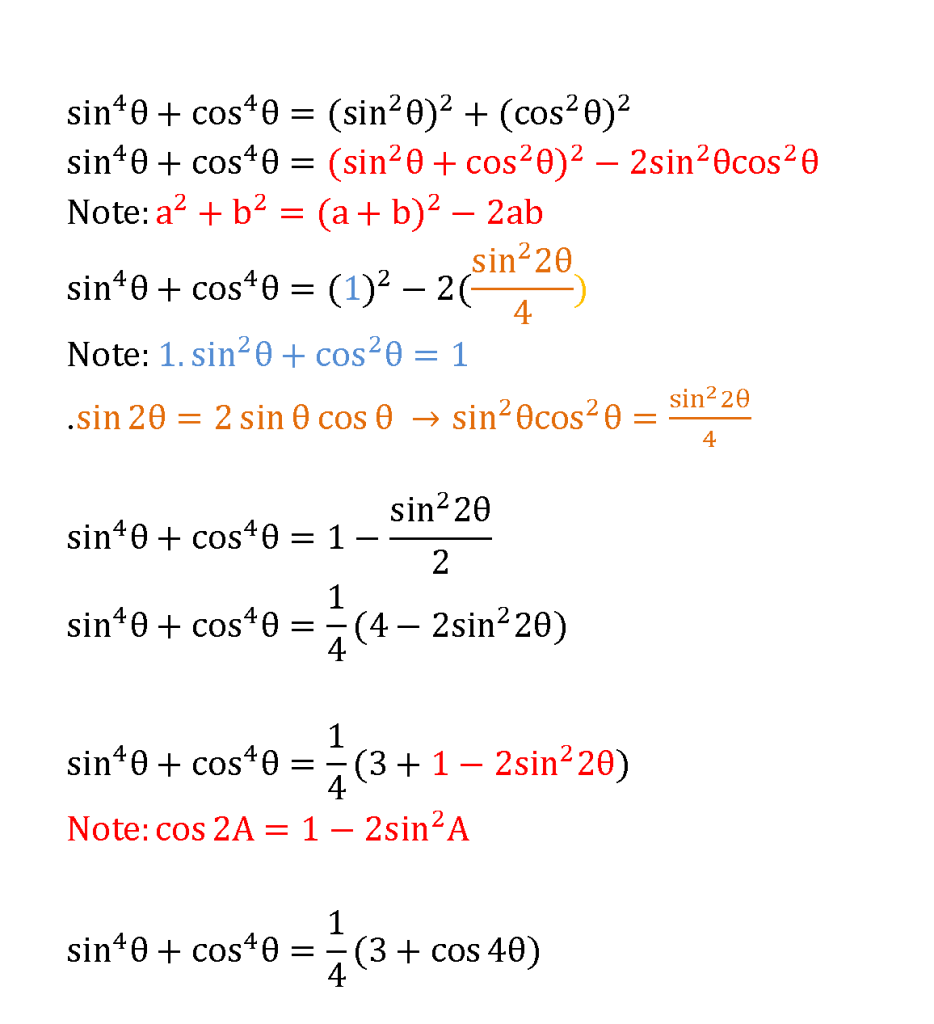
发表于 21-1-2010 01:36 AM
|
显示全部楼层
非常谢谢。。。。
sin^4θ + cos^4θ = 1/4( 3 + cos 4θ)
2 ) given sin ( x + y ) = p cos ( x – y )
show tan x = (p –tan y)/(1-p tan y ) |
|
|
|
|
|
|
|
|
|
|
发表于 21-1-2010 01:36 AM
|
显示全部楼层
非常谢谢。。。。
sin^4θ + cos^4θ = 1/4( 3 + cos 4θ)
2 ) given sin ( x + y ) = p cos ( x – y )
show tan x = (p –tan y)/(1-p tan y ) |
|
|
|
|
|
|
|
|
|
|
发表于 21-1-2010 03:54 AM
|
显示全部楼层
2 ) given sin ( x + y ) = p cos ( x – y )
show tan x = (p –tan y)/(1-p tan y )
哈比人 发表于 21-1-2010 01:36 AM 
 |
|
|
|
|
|
|
|
|
|
|
发表于 21-1-2010 11:42 AM
|
显示全部楼层
非常谢谢。。。。
sin^4θ + cos^4θ = 1/4( 3 + cos 4θ)
哈比人 发表于 21-1-2010 01:36 AM 

Of coz, 还有其他方法来做,就是De Moivre Theorem(not in syllabus) |
|
|
|
|
|
|
|
|
| |
本周最热论坛帖子
|