|
|

楼主 |
发表于 31-3-2010 09:10 PM
|
显示全部楼层
本帖最后由 白羊座aries 于 31-3-2010 09:12 PM 编辑
想问个很简单的问题
lim (|x| -1 ) = ??
x->-1(-)
答案是 0 还是-2 ? |
|
|
|
|
|
|
|
|
|
|
发表于 31-3-2010 09:44 PM
|
显示全部楼层
本帖最后由 walrein_lim88 于 31-3-2010 09:47 PM 编辑
想问个很简单的问题
lim (|x| -1 ) = ??
x->-1(-)
答案是 0 还是-2 ?
白羊座aries 发表于 31-3-2010 09:10 PM 
0..。。。。。。。 |
|
|
|
|
|
|
|
|
|
|

楼主 |
发表于 31-3-2010 10:24 PM
|
显示全部楼层
Find the coordinates of the stationary points on the curve y=x^3/(x^2-1) and determine their nature .
sketch the curve ( 这是重点 , 我完全不会)
Determine the number of real roots of the equation x^3=k(x^2-1) where k is subset of real number , when k varies ( 这个也是完全不会 ) |
|
|
|
|
|
|
|
|
|
|
发表于 31-3-2010 11:10 PM
|
显示全部楼层
回复 883# 白羊座aries
file:///C:/DOCUME%7E1/ADMINI%7E1/LOCALS%7E1/Temp/moz-screenshot.png
 |
|
|
|
|
|
|
|
|
|
|
发表于 31-3-2010 11:34 PM
|
显示全部楼层
对不起。。不是不会做。。是因为电脑我不会画,
而且没SCANNER..所以要问有关CURVE的,在MSN问吧。。 |
|
|
|
|
|
|
|
|
|
|

楼主 |
发表于 1-4-2010 12:14 AM
|
显示全部楼层
本帖最后由 白羊座aries 于 1-4-2010 12:18 AM 编辑
sketch而已。
然后解释。有谁会请帮帮忙 |
|
|
|
|
|
|
|
|
|
|
发表于 1-4-2010 09:22 AM
|
显示全部楼层
记得y is not defined at x=1 and x=-1
x-->-1 from negative, y-->infinity
x-->-1 from positive, y-->-infinity
x-->1 from negative, y-->-infinity
x-->-1 from positive, y-->infinity
Asymptotes: x=1 and x=-1
有了这些资料,sketching应该都没有问题了 |
|
|
|
|
|
|
|
|
|
|

楼主 |
发表于 3-4-2010 06:04 PM
|
显示全部楼层
记得y is not defined at x=1 and x=-1
x-->-1 from negative, y-->infinity
x-->-1 from positive, y--> ...
menglee 发表于 1-4-2010 09:22 AM 
嗯,我知道啊,但是我不会用stationary point, nature 的资料 |
|
|
|
|
|
|
|
|
|
|
发表于 3-4-2010 07:05 PM
|
显示全部楼层
嗯,我知道啊,但是我不会用stationary point, nature 的资料
白羊座aries 发表于 3-4-2010 06:04 PM 
我去MSN解释~~ |
|
|
|
|
|
|
|
|
|
|
发表于 4-4-2010 05:32 PM
|
显示全部楼层
本帖最后由 whyyie 于 4-4-2010 05:33 PM 编辑

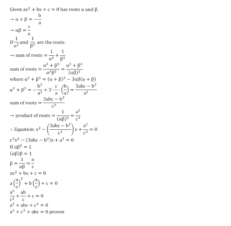
第2 part prove 不到 |
|
|
|
|
|
|
|
|
|
|
发表于 4-4-2010 08:20 PM
|
显示全部楼层
第2 part prove 不到
whyyie 发表于 4-4-2010 05:32 PM 
 |
|
|
|
|
|
|
|
|
|
|
发表于 4-4-2010 09:44 PM
|
显示全部楼层
x^1/2+y^2/3=6
x^(-1/2)+y^(-2/3)=3/4
大家帮帮忙 |
|
|
|
|
|
|
|
|
|
|
发表于 4-4-2010 10:07 PM
|
显示全部楼层
回复 892# 芭樂
file:///C:/DOCUME%7E1/ADMINI%7E1/LOCALS%7E1/Temp/moz-screenshot-1.png |
|
|
|
|
|
|
|
|
|
|
发表于 5-4-2010 12:50 PM
|
显示全部楼层
Show that the geometric series 1+e^-x+e^-2x+... converges to S, a sum to infinity for any positive real number x. Given that x= 10, write down expression for Sn,the sum to n terms for S.
Given that S-Sn<(S/10^100), show that n > 10In10.
大家帮帮忙,谢咯 |
|
|
|
|
|
|
|
|
|
|
发表于 5-4-2010 03:55 PM
|
显示全部楼层
Show that the geometric series 1+e^-x+e^-2x+... converges to S, a sum to infinity for any positive r ...
芭樂 发表于 5-4-2010 12:50 PM 
 |
|
|
|
|
|
|
|
|
|
|
发表于 7-4-2010 07:08 PM
|
显示全部楼层
The sides BC, CA, AB of a triangle ABC are a, a+d, a+2d respectively. Show that cos C = 1/2 - 3d/2a.
Hence find the set of values of d/a such that 120* < C <180* |
|
|
|
|
|
|
|
|
|
|
发表于 7-4-2010 09:17 PM
|
显示全部楼层
The sides BC, CA, AB of a triangle ABC are a, a+d, a+2d respectively. Show that cos C = 1/2 - 3d/2a. ...
whyyie 发表于 7-4-2010 07:08 PM 
 |
|
|
|
|
|
|
|
|
|
|
发表于 9-4-2010 08:23 PM
|
显示全部楼层
哈哈
献丑了
我只懂fermat last theorem=费马定理
一位很很出名的数学家
他说的东西应该很多很多
STPM有读到他的东西? |
|
|
|
|
|
|
|
|
|
|
发表于 9-4-2010 08:36 PM
|
显示全部楼层
回复 898# Lov瑜瑜4ever
我只能说,我们现在form6读的数学没有讲说是谁发现的,我们只是读那些程式,却不读作者,所以我对他0知识,但是刚刚去wiki看了看,好像有读过他说的东西 |
|
|
|
|
|
|
|
|
|
|
发表于 9-4-2010 09:26 PM
|
显示全部楼层
哈哈
献丑了
我只懂fermat last theorem=费马定理
一位很很出名的数学家
他说的东西应该很多很多
STPM ...
Lov瑜瑜4ever 发表于 9-4-2010 08:23 PM 
这个已经超越STPM的LEVEL了,费马定理是在DISCRETE MATHS里的NUMBER THEORY其中一个重要定理,不过STPM的数学还不至于碰到DISCRETE MATHS 。。 |
|
|
|
|
|
|
|
|
| |
本周最热论坛帖子
|