|
|
发表于 3-2-2010 02:52 PM
|
显示全部楼层
乙劍真人 发表于 3-2-2010 02:41 PM 
真人,你不要告诉我你又买全部MATHS S的书。。。 |
|
|
|
|
|
|
|
|
|
|
发表于 3-2-2010 02:54 PM
|
显示全部楼层
|
I dun understand for both ques leh |
|
|
|
|
|
|
|
|
|
|
发表于 3-2-2010 03:03 PM
|
显示全部楼层
真人,你不要告诉我你又买全部MATHS S的书。。。
walrein_lim88 发表于 3-2-2010 02:52 PM 
2004/2005 的时候买的..
有一本最新的 Federal 大概是前年还是去年买的.. |
|
|
|
|
|
|
|
|
|
|
发表于 3-2-2010 03:22 PM
|
显示全部楼层
本帖最后由 vick5821 于 3-2-2010 09:51 PM 编辑
The first term of a G.P is 2 + square root 2 and the second term is 2 - square roots 2. Find in the simplest form, the third and fourth terms.
I got T3 = 10 -7square root 2 leh..not same with book |
|
|
|
|
|
|
|
|
|
|
发表于 4-2-2010 08:39 AM
|
显示全部楼层
回复 744# vick5821
可能书的答案错了 |
|
|
|
|
|
|
|
|
|
|
发表于 4-2-2010 11:03 AM
|
显示全部楼层
|
|
|
|
|
|
|
|
|
|
发表于 4-2-2010 11:50 AM
|
显示全部楼层
|
|
|
|
|
|
|
|
|
|
发表于 4-2-2010 03:45 PM
|
显示全部楼层
|
|
|
|
|
|
|
|
|
|
发表于 4-2-2010 03:45 PM
|
显示全部楼层
|
|
|
|
|
|
|
|
|
|
发表于 4-2-2010 03:46 PM
|
显示全部楼层
|
|
|
|
|
|
|
|
|
|
发表于 5-2-2010 05:16 PM
|
显示全部楼层
回复 735# vick5821
给VICK5821参考的。。其他人也可以。。。
 |
|
|
|
|
|
|
|
|
|
|
发表于 5-2-2010 05:17 PM
|
显示全部楼层
|
|
|
|
|
|
|
|
|
|
发表于 6-2-2010 09:55 PM
|
显示全部楼层
|
sketch the graph x^2=y(y-2)^2.how do we sketch this graph? |
|
|
|
|
|
|
|
|
|
|
发表于 6-2-2010 09:57 PM
|
显示全部楼层
sketch the graph x^2=y(y-2)^2.how do we sketch this graph?
數學神童 发表于 6-2-2010 09:55 PM 
X^2代表 REFLECTION ON Y-AXIS .. |
|
|
|
|
|
|
|
|
|
|
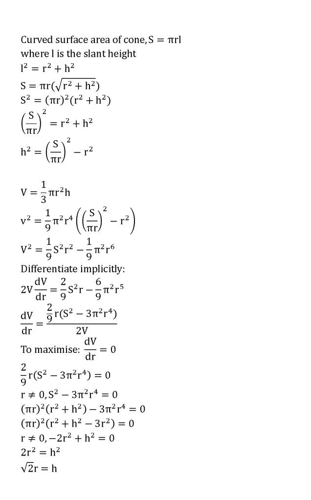
发表于 8-2-2010 02:09 PM
|
显示全部楼层
这题怎么做?
A right circular cone has base raduis r and height h. As r and h vary, its curved surface area is kept constant. Show that its volume is a maximum when r = r√2h. |
|
|
|
|
|
|
|
|
|
|
发表于 8-2-2010 10:16 PM
|
显示全部楼层
这题怎么做?
A right circular cone has base raduis r and height h. As r and h vary, its curved surfa ...
海涵 发表于 8-2-2010 02:09 PM 

我知道这问题是从那本绿色OXFORD书来的。。
我老师讲过答案有问题。。。 |
|
|
|
|
|
|
|
|
|
|
发表于 9-2-2010 06:14 PM
|
显示全部楼层
|
|
|
|
|
|
|
|
|
|
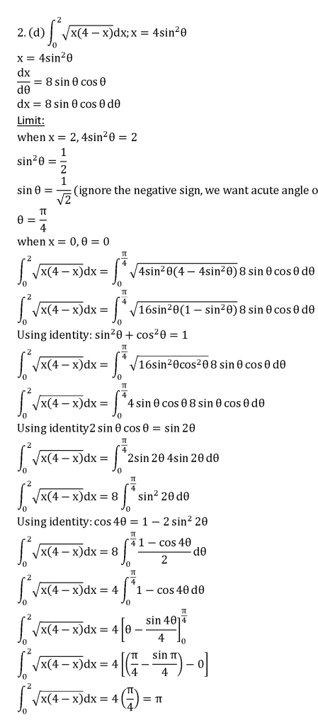
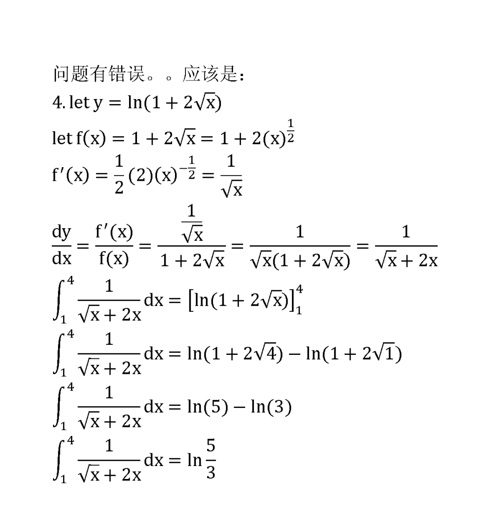
发表于 18-2-2010 05:29 AM
|
显示全部楼层
各位,不知道大家是否有oxford fajar maths T P1的书...是青色皮的
如果有的话,请问能帮我解决下quick check 8.8...2(d)和4吗?谢谢 |
|
|
|
|
|
|
|
|
|
|
发表于 18-2-2010 07:35 PM
|
显示全部楼层
各位,不知道大家是否有oxford fajar maths T P1的书...是青色皮的
如果有的话,请问能帮我解决下quick ch ...
末日审判 发表于 18-2-2010 05:29 AM 
 |
|
|
|
|
|
|
|
|
|
|
发表于 18-2-2010 07:52 PM
|
显示全部楼层
|
|
|
|
|
|
|
|
| |
本周最热论坛帖子
|