|
|

楼主 |
发表于 6-1-2010 06:23 PM
|
显示全部楼层
|
很感谢大家的答案,但是很多书都是写coordinate的形式,我老师也是用第一,二种但是我就是怕真正考试不被接受... |
|
|
|
|
|
|
|
|
|
|
发表于 6-1-2010 07:06 PM
|
显示全部楼层
本帖最后由 walrein_lim88 于 6-1-2010 07:14 PM 编辑
很感谢大家的答案,但是很多书都是写coordinate的形式,我老师也是用第一,二种但是我就是怕真正考试不被接 ...
白羊座aries 发表于 6-1-2010 06:23 PM 
真正的考试接受一和二的。我老师是STPM EXAMINER,他也是用一和二的。 |
|
|
|
|
|
|
|
|
|
|
发表于 6-1-2010 07:31 PM
|
显示全部楼层
跟着LOG:
2 应该有点错误。
我刚刚CHECK了课本。
如果是X is real positive value ,x>0 (exclude 0)
谢谢LOG 的提醒 |
|
|
|
|
|
|
|
|
|
|

楼主 |
发表于 6-1-2010 07:37 PM
|
显示全部楼层
|
|
|
|
|
|
|
|
|
|
发表于 6-1-2010 07:54 PM
|
显示全部楼层
本帖最后由 海涵 于 6-1-2010 07:58 PM 编辑
可以教教我吗??
1. function f is defined by f(x) = x^n + 2x^n-1 + b , where n and b are integers.when f(x) is divided by x-1 , it leaveas a remainder of -24.if x+3 is a factor of f(x), find the values of b and n.
ans : b=-27 , n=4
2. the polynomial p(x) = 25x^4 + ax^3 - 6x^2 + bx - 3can be expressed in the form m(5x^2 + 2x) ^2 + n(5x^2 + 2x)-3 , where a, b, m and n are real numbers.
find the values of a ,b ,m and n.
ans: a=20, b=-4 , m=1, n=-2
3.the roots of the quadratic equation x^2 + mx +n =0 are α and β. if the roots are in the ratio a:b,show that m^2ab= n(a + b)^2。 |
|
|
|
|
|
|
|
|
|
|
发表于 6-1-2010 08:54 PM
|
显示全部楼层
可以教教我吗??
1. function f is defined by f(x) = x^n + 2x^n-1 + b , where n and b are integers.w ...
海涵 发表于 6-1-2010 07:54 PM 
hints;
1. use remainder theorem, f(x)divide by x-1 get remainder -24
--> f(1)=-24
(1)^n+2(1)^(n-1)+b=-24
1+2+b= -24 =.... ( 1 power of any real number always get 1)
similarly, (x+3)is a factor of f(x)---> f(-3)=0 (coz it is factor so remainder is 0)
2. p(x) = 25x^4 + ax^3 - 6x^2 + bx - 3=m(5x^2 + 2x) ^2 + n(5x^2 + 2x)-3
将m(5x^2 + 2x) ^2 + n(5x^2 + 2x)-3 expand ,then compare both sides the coefficients of the same x
3.x²+mx+n=0, roots =α ,β
α+β=-m--(1) , αβ=n ---(2)
given α/β=a/b
α=aβ/b -----(3)
substitute (3) into (1) to get β=.......
then take β=...... substitute into (3) to get α=....
finally, substitute β=.... and α=..... into (2) and rearrange get the answer. |
|
|
|
|
|
|
|
|
|
|
发表于 7-1-2010 12:04 AM
|
显示全部楼层
能教我这一题吗:
1. function f is defined by f(x) = x-(1/x), x>0. Thus, define f^(-1) in a similar form.
ans: (x/2)+(1/2)[(x^(2)+4)]^(1/2) |
|
|
|
|
|
|
|
|
|
|

楼主 |
发表于 7-1-2010 01:02 AM
|
显示全部楼层
y= x+1/x
express y in the polynomial term:
x^3 -4x -6 -1/x +1/x^3 |
|
|
|
|
|
|
|
|
|
|
发表于 7-1-2010 11:37 AM
|
显示全部楼层
y= x+1/x
express y in the polynomial term:
x^3 -4x -6 -1/x +1/x^3
白羊座aries 发表于 7-1-2010 01:02 AM 
 |
|
|
|
|
|
|
|
|
|
|
发表于 8-1-2010 04:15 PM
|
显示全部楼层
本帖最后由 海涵 于 8-1-2010 04:18 PM 编辑
谢谢哦。。。
再请问一下。。。
1. the probability that an accident happens in a town is 0.05 on any day and 0.03 if it rains. the probability that it rains is 0.36. find the probability that
(a) it rains and an accident happens,
(b) it rains if an accident happens,
(c) an accident happens if it did not rain.
ans: (a) 0.0108
(b) 0.216
(c) 0.06125
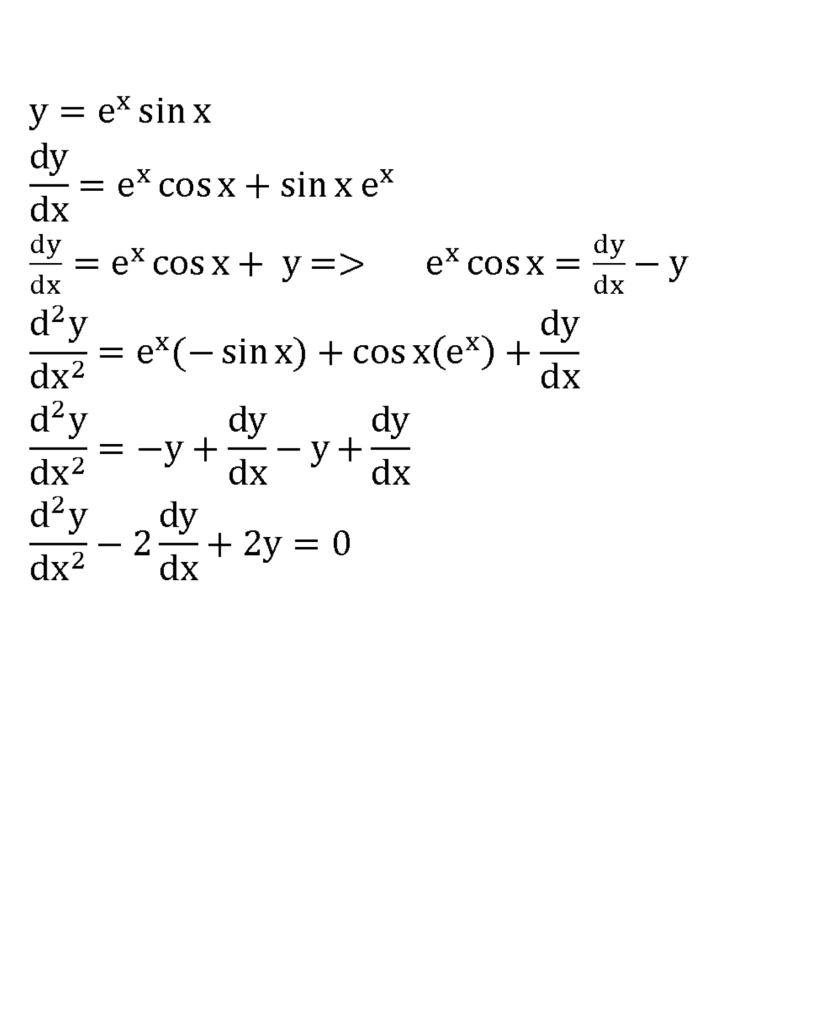
2. if y= e^x sin x , show that d^2y/dx^2 - 2(dy/dx) + 2y=0. |
|
|
|
|
|
|
|
|
|
|
发表于 8-1-2010 04:34 PM
|
显示全部楼层
|
|
|
|
|
|
|
|
|
|

楼主 |
发表于 11-1-2010 08:08 PM
|
显示全部楼层
|
|
|
|
|
|
|
|
|
|
发表于 16-1-2010 09:28 PM
|
显示全部楼层
|
two parallel lines passes through (5,0) and (-5,0) respectively,they intersect with a straight line equation 4x+3y=25 at P and Q.If PQ is 5 units, find the possible gradients of the parallel lines. |
|
|
|
|
|
|
|
|
|
|
发表于 16-1-2010 10:03 PM
|
显示全部楼层
two parallel lines passes through (5,0) and (-5,0) respectively,they intersect with a straight line ...
數學神童 发表于 16-1-2010 09:28 PM 
我不会放图画在这里,所以难解释下。。。 |
|
|
|
|
|
|
|
|
|
|
发表于 16-1-2010 10:14 PM
|
显示全部楼层
|
|
|
|
|
|
|
|
|
|
发表于 16-1-2010 10:17 PM
|
显示全部楼层
本帖最后由 四月一日的小皮 于 16-1-2010 10:19 PM 编辑
x= - 4/13 and x= 4/7
i use long way to do this. |
|
|
|
|
|
|
|
|
|
|
发表于 16-1-2010 10:18 PM
|
显示全部楼层
two parallel lines passes through (5,0) and (-5,0) respectively,they intersect with a straight line ...
數學神童 发表于 16-1-2010 09:28 PM 
你自己试试画画看:
有两个POSSIBLE GRADIENT : one positive gradient, one negative gradient
Working for positive gradient:
 |
|
|
|
|
|
|
|
|
|
|
发表于 16-1-2010 10:22 PM
|
显示全部楼层
|
paper1不是不能用trigo rule吗??? |
|
|
|
|
|
|
|
|
|
|
发表于 16-1-2010 10:28 PM
|
显示全部楼层
本帖最后由 walrein_lim88 于 16-1-2010 10:30 PM 编辑
 |
|
|
|
|
|
|
|
|
|
|
发表于 16-1-2010 10:31 PM
|
显示全部楼层
paper1不是不能用trigo rule吗???
四月一日的小皮 发表于 16-1-2010 10:22 PM 
可以啊。。怎么不可以?? |
|
|
|
|
|
|
|
|
| |
本周最热论坛帖子
|