|
|
发表于 13-11-2010 02:43 AM
|
显示全部楼层
回复 498# peaceboy
6X+2.15 ,为什么这个不可以?对了,还有后面2题,那个event又是怎样呢? |
|
|
|
|
|
|
|
|
|
|
发表于 13-11-2010 02:48 AM
|
显示全部楼层
本帖最后由 walrein_lim88 于 13-11-2010 02:59 AM 编辑
half angle formula 是怎样用的???
为什么 given x is acute. tan x = 1/t, find value of tcos2x+sin ...
哈比人 发表于 13-11-2010 01:35 AM 
half angle formula 的意思就是 如何把 x angle related to 1/2x de angleexample:
cos x = 2cos^2 ( x/2) - 1 (我们用 x/2 来 express cos x 的 formula )
= 1 - 2 sin^2 (x/2)
sin x = 2 sin (x/2) cos ( x/2)
所以。。from the question
我们用x 来express cos 2x 的 formula ( since half of 2x = x )
cos 2x = 2 cos^2 x - 1 = 1 - 2 sin^2x
sin 2x = 2 sin x cos xusing t = tan x , x = acute angle
draw out the right angled triangle
tan x = opposite side / adjacent side = t/1
opposite = t, adjacent =1, hypothenuse =(t^2 + 1 )^(1/2)
therefore cos x = adjacent /hypothenuse = 1 / (t^2 + 1 )^(1/2)
sin x = opposite/hypothenuse =t/(t^2 + 1)^(1/2)
cos 2x + sin 2x = 2 cos^2 x - 1 + 2 cos x sin x
cos 2x + sin 2x = 2(1/(t^2 + 1 ) - 1 + 2 (1/(t^2 +1)^(1/2))(t/(t^2+1)^(1/2))
cos 2x + sin 2x = 2/(t^2 +1) - 1 + 2t/(t^2 +1)
cos 2x + sin 2x = (2 -t^2 -1 +2t )/(t^2 +1)
cos 2x + sin 2x = (1 + 2t - t^2)/(t^2 +1) |
|
|
|
|
|
|
|
|
|
|
发表于 13-11-2010 03:03 AM
|
显示全部楼层
回复 peaceboy
6X+2.15 ,为什么这个不可以?对了,还有后面2题,那个event又是怎样呢?
nkrealman 发表于 13-11-2010 02:43 AM 
你这个6X要小心。。。。算VARIANCE不要square 6 |
|
|
|
|
|
|
|
|
|
|
发表于 13-11-2010 06:46 AM
|
显示全部楼层
本帖最后由 nkrealman 于 13-11-2010 06:51 AM 编辑
回复 504# walrein_lim88
你蒲头了
给你讲中了,我square了==几时要x1+x2+....几时又要6x?== |
|
|
|
|
|
|
|
|
|
|
发表于 13-11-2010 10:40 AM
|
显示全部楼层
回复 walrein_lim88
你蒲头了
给你讲中了,我square了==几时要x1+x2+....几时又要6x?==
nkrealman 发表于 13-11-2010 06:46 AM 
实际上这个PEACEBOY好像解释很多吃了。。其实是要用x1+x2+...+x6
6x => x 的六倍 。。。
虽然两个的MEAN会一样。。。可是意思和用法是不一样的。。。
我通常是会这样来分辨。。。
如:
1. Given mass of a x in kg
Question ask total mass of 6 x (kg )
if unit no change...mass of x (kg ) -> mass of 6 x ( kg)..we use x1+x2+x3...+x6
2. Given mass of a x in kg.
one kg = RM 6
question ask for price of a x ( RM)
since unit change....from mass - > price ...den we use 6x
OR
6 times ...有倍数的。。
也是用 6x |
|
|
|
|
|
|
|
|
|
|
发表于 13-11-2010 10:42 AM
|
显示全部楼层
|
|
|
|
|
|
|
|
|
|
发表于 13-11-2010 05:56 PM
|
显示全部楼层
回复 506# walrein_lim88
那么Qs refer 回去第20题。find the probability that the total price of 5 randomly chosen melons and 3 randomly chosen pumpkins exceeds $8
Melons,M~N(0.8,0.1)
M1+M2+M3+M4+M5~N(4,0.5)
Pumpkins,K~N(1.2,0.2)
K1+K2+K3~N(3.6,0.2)
melons 是 $1.5 per kg
pumpkins 是 $0.5 per kg
假如我继续换去
1.5(M1+M2+M3+M4+M5)~N(6,61.1.125)
0.5(K1+K2+K3)~N(1.8,0.15)
有问题吗? |
|
|
|
|
|
|
|
|
|
|
发表于 13-11-2010 08:02 PM
|
显示全部楼层
回复 507# walrein_lim88
好久好久没看到你了 |
|
|
|
|
|
|
|
|
|
|
发表于 13-11-2010 08:04 PM
|
显示全部楼层
回复 508# nkrealman
看起来是没问题,懒惰去算.....
还欠一个step就是把两个加起来吧.. |
|
|
|
|
|
|
|
|
|
|
发表于 13-11-2010 11:24 PM
|
显示全部楼层
回复 walrein_lim88
好久好久没看到你了
peaceboy 发表于 13-11-2010 08:02 PM 
其实是因为半夜睡不着。。过来帮忙下。。。不过我也要顾下我的FINAL了。。 |
|
|
|
|
|
|
|
|
|
|
发表于 14-11-2010 01:03 AM
|
显示全部楼层
回复 511# walrein_lim88
那么你应该多失眠几次,很多math T的问题没有人解....(那个叫log的不懂躲去哪里了....) |
|
|
|
|
|
|
|
|
|
|
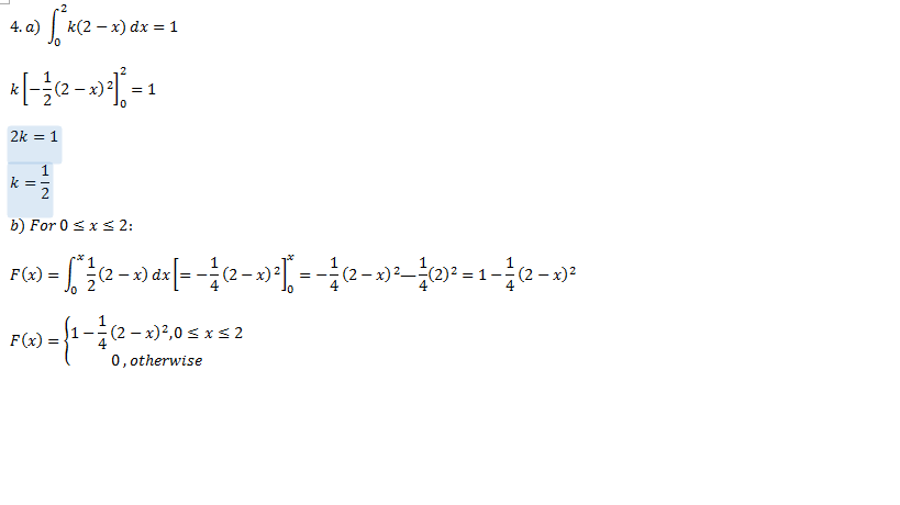
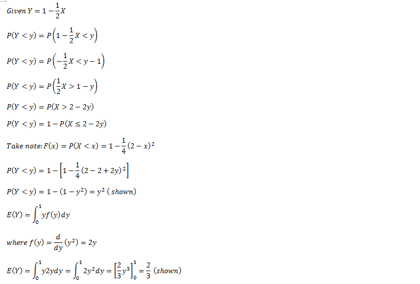
发表于 15-11-2010 01:30 AM
|
显示全部楼层
|
|
|
|
|
|
|
|
|
|
发表于 15-11-2010 01:32 AM
|
显示全部楼层
|
|
|
|
|
|
|
|
|
|
发表于 15-11-2010 06:28 PM
|
显示全部楼层
Allmaths 不是会数学T的。。??
walrein_lim88 发表于 15-11-2010 01:30 AM 
他是选择性来读的,没有兴趣的chapter他没有什么研究的 |
|
|
|
|
|
|
|
|
|
|
发表于 15-11-2010 06:28 PM
|
显示全部楼层
回复 514# walrein_lim88
没有的么?我还以为在syllabus里面的... |
|
|
|
|
|
|
|
|
|
|
发表于 15-11-2010 11:16 PM
|
显示全部楼层
本帖最后由 nkrealman 于 15-11-2010 11:25 PM 编辑

因为没有答案的关系,所以我只是想要确定对不对而已。谢谢 |
|
|
|
|
|
|
|
|
|
|
发表于 17-11-2010 04:07 PM
|
显示全部楼层
想请问下如果 random variable 题目要找mode~
我不用recurring formula, 用普通方法一个一个算出来的话,会不会扣分 ? |
|
|
|
|
|
|
|
|
|
|
发表于 17-11-2010 06:57 PM
|
显示全部楼层
因为没有答案的关系,所以我只是想要确定对不对而已。谢谢
nkrealman 发表于 15-11-2010 11:16 PM 
我很懒惰哦,不如你写step我们一起研究看.... |
|
|
|
|
|
|
|
|
|
|
发表于 17-11-2010 07:00 PM
|
显示全部楼层
想请问下如果 random variable 题目要找mode~
我不用recurring formula, 用普通方法一个一个算出来的话, ...
外星護法 发表于 17-11-2010 04:07 PM 
random variable找mode ,最多2分吧
recurring formula<<<有这种东西的么? |
|
|
|
|
|
|
|
|
|
|
发表于 17-11-2010 07:21 PM
|
显示全部楼层
找mode的方法是要看给的分数多少决定的,假如是1或2分,就是普通的state。
假如分数比较多的话,就用recurring formula.
recurring formula 应该是 math T 的东西
这是我蛮怕的东西==因为冷门的东西,还有coding method我也是不怎么喜欢== |
|
|
|
|
|
|
|
|
| |
本周最热论坛帖子
|