|
|
发表于 5-11-2010 01:02 AM
|
显示全部楼层
回复 peaceboy
erm...关于那一题可以请你解释吗?不是很明白。我除了懂(n-1)!之外,全部都没有概 ...
nkrealman 发表于 4-11-2010 10:45 PM 
453楼有解释 |
|
|
|
|
|
|
|
|
|
|
发表于 5-11-2010 02:48 AM
|
显示全部楼层
y = tan 2x, y = 4x
find intersection
x from -pi to pi
偶堂弟问我的问题,A-level没有学newton raphson method ,所以有谁会其他方法solve么? |
|
|
|
|
|
|
|
|
|
|
发表于 6-11-2010 01:04 PM
|
显示全部楼层
|
|
|
|
|
|
|
|
|
|
发表于 6-11-2010 02:49 PM
|
显示全部楼层
回复 484# whyyie
i)7/18*6/17 + 11/18*10/17 = 76/153
ii) 8/18*7/17 + 10/18*9/17 =73/153
iii) 3/18*2/17 + 4/18*3/17 + 5/18*4/17 + 6/18*5/17 = 2/9
iv ) p(same shape l same colour) = (2/9) / (73/153)
=34/73 |
|
|
|
|
|
|
|
|
|
|
发表于 10-11-2010 04:59 PM
|
显示全部楼层
|
各位。。。。。可以解释 normal distribution for independent event 吗 ?很混淆几时那个variance要square 它。。。 |
|
|
|
|
|
|
|
|
|
|
发表于 10-11-2010 08:51 PM
|
显示全部楼层
回复 486# 哈比人
什么时候square过variance了?
有没有例子? |
|
|
|
|
|
|
|
|
|
|
发表于 10-11-2010 09:40 PM
|
显示全部楼层
回复 哈比人
什么时候square过variance了?
有没有例子?
peaceboy 发表于 10-11-2010 08:51 PM 
就是说。。。given x : man who eat durian .........(例子吧了)X~N(26,4)当 Y= two men who eat durian
find probability of Y
then Y=2X or Y=X1+X2 ????
then 当你做normal distribution..Y~N(52, 2^2(4) ) or Y~N(52, 8)
书里写 当问题是 independent ...就要square, 就是说 variance = a^2(variance)
如何分independent or dependent??? |
|
|
|
|
|
|
|
|
|
|
发表于 10-11-2010 10:00 PM
|
显示全部楼层
回复 488# 哈比人
哦哦,我们的syllabus只有independent 的
然后如何分辨是2x 还是 x1+x2
其实很简单
两个榴莲我们用x1+x2
榴莲的两倍我们用2x
这样罢了.... |
|
|
|
|
|
|
|
|
|
|
发表于 11-11-2010 12:35 AM
|
显示全部楼层
|
|
|
|
|
|
|
|
|
|
发表于 11-11-2010 04:59 PM
|
显示全部楼层

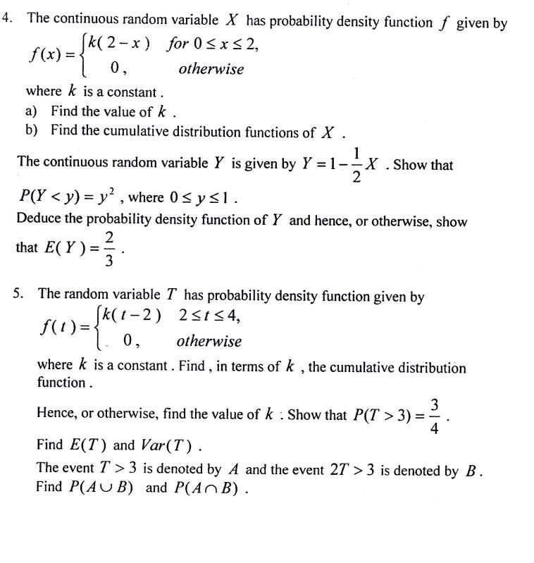
哈哈,我又来了 大家帮帮忙
第四题,后面的部分..show that P(Y=y)=y^2....到deduce the probability density function of y...
第五题,也是一样..the event T>3 is denoted by A and the event 2T>3...find... |
|
|
|
|
|
|
|
|
|
|
发表于 11-11-2010 05:28 PM
|
显示全部楼层
我想我碰到一个问题就是,当event换了,它对于pdf 跟 cdf 的影响是什么?
好像我的event X 换去 squ root X... |
|
|
|
|
|
|
|
|
|
|
发表于 11-11-2010 10:33 PM
|
显示全部楼层

最后那几题,请大家告诉我event 变去什么。
19)我换去 6X+2.15,但是算不到 |
|
|
|
|
|
|
|
|
|
|
发表于 12-11-2010 08:30 AM
|
显示全部楼层
1) A committee consists of the chairman and five other members. Each time a
resolution is raised, the chairman and the committee members must accept or
reject it. The probability that the chairman will accept a resolution is 3/5. The
other members make their decision independently, but the probability that
each member agrees with the chairman is 2/3.
A resolution is passed by the committee when the number of people who
accept it exceed the number of people who oppose it, or if the number of
people who accept it is equal to the number who oppose it and the chairman is
among those who accept it. Find the probability that a resolution is passed by
the committee if the chairman opposes it.
2) A husband and wife couple is taking driving tests. If the probability that either
the husband or the wife passes the test, each time the test is taken, is 0.8,
find the probability that the husband or the wife passes the test after taking
the test exactly twice. |
|
|
|
|
|
|
|
|
|
|
发表于 12-11-2010 10:14 PM
|
显示全部楼层
Q1. A firm rents cars from three agencies, 20% from agency X, 35% from agency Y, and 45% from agency Z. 70% of the cars rented from agency X, 85% of the cars rented from agency Y, and 95% of the cars rented agency Z are black. If a car is randomly selected from the firm, find the following probabilities and give your answers correct to 4 decimal places.
i) The selected car is black.
ii) The selected car is rented from agency Y given that the selected car is black.
Q2. A carton contains 11 rechargeable batteries, one of which is defective. How many ways can three rechargeable batteries be chosen if
i) one of them is defective?
ii)none of them is defective?
Q3. A team of five is randomly chosen from six girls and seven boys. How many different ways can the team be chosen if there must be more girls than boys in the team. |
|
|
|
|
|
|
|
|
|
|
发表于 12-11-2010 11:33 PM
|
显示全部楼层
回复 491# nkrealman
math T 的syllabus不熟....
等log来解 |
|
|
|
|
|
|
|
|
|
|
发表于 12-11-2010 11:35 PM
|
显示全部楼层
回复 495# kelfaru
Q1 i)P(the selected car is black) =P(from agency X)+P(from agency Y)+P(from agency Z)
=(0.2x0.7)+(0.35x0.85)+(0.45x0.95)
=0.14+0.2975+0.4275
=0.865
ii)P(from agency Y|black car)=P(black car from agency Y)/P(black car)
=(0.35x0.95)/0.865
=0.3844
Q2 i)number of ways=10C2=45
ii)number of ways =10C3=120
Q3 number of way=(3 girls,2boys)+(4 girls, 1 boy)+(5 girls, no boy)
=6C3x7C2 + 6C4x7C1 + 6C5x7C0
=20x21 + 15x7 + 6x1
=531 |
|
|
|
|
|
|
|
|
|
|
发表于 12-11-2010 11:36 PM
|
显示全部楼层
最后那几题,请大家告诉我event 变去什么。
19)我换去 6X+2.15,但是算不到
nkrealman 发表于 11-11-2010 10:33 PM 
P(x1+x2+x3+x4+x5+x6<11.2-2.15) <<<这样吧 |
|
|
|
|
|
|
|
|
|
|
发表于 12-11-2010 11:46 PM
|
显示全部楼层
本帖最后由 peaceboy 于 12-11-2010 11:50 PM 编辑
回复 494# blazex
1) A committee consists of the chairman and five other members. Each time a
resolution is raised, the chairman and the committee members must accept or
reject it. The probability that the chairman will accept a resolution is 3/5. The
other members make their decision independently, but the probability that
each member agrees with the chairman is 2/3.
A resolution is passed by the committee when the number of people who
accept it exceed the number of people who oppose it, or if the number of
people who accept it is equal to the number who oppose it and the chairman is
among those who accept it. Find the probability that a resolution is passed by
the committee if the chairman opposes it.
2/5*[5C4(1/3)^4 (2/3)^1 +5C5(1/3)^5 ] / (2/5)
2) A husband and wife couple is taking driving tests. If the probability that either
the husband or the wife passes the test, each time the test is taken, is 0.8,
find the probability that the husband or the wife passes the test after taking
the test exactly twice.
0.2*0.8*0.2*0.2+0.2*0.2*0.2*0.8 |
|
|
|
|
|
|
|
|
|
|
发表于 13-11-2010 01:35 AM
|
显示全部楼层
half angle formula 是怎样用的???
为什么 given x is acute. tan x = 1/t, find value of tcos2x+sin2x in terms of t 要用half angle formula 做???? 有skema都看不明。。。。。 =.= |
|
|
|
|
|
|
|
|
|
|
发表于 13-11-2010 02:41 AM
|
显示全部楼层
回复 496# peaceboy
其实我是放上来给大家讨论罢了,没想到活跃的只有你 |
|
|
|
|
|
|
|
|
| |
本周最热论坛帖子
|