|
|

楼主 |
发表于 12-7-2004 04:36 PM
|
显示全部楼层
|
|
|
|
|
|
|
|
|
|

楼主 |
发表于 12-7-2004 04:37 PM
|
显示全部楼层
|
|
|
|
|
|
|
|
|
|

楼主 |
发表于 12-7-2004 04:39 PM
|
显示全部楼层
貼上癮了﹗
 |
|
|
|
|
|
|
|
|
|
|

楼主 |
发表于 12-7-2004 06:58 PM
|
显示全部楼层
弘一法師絕筆﹕

《悲欣交集》 弘一法师临终绝笔 上海圆明讲堂藏 弘一法师于1942年10月13日晚圆寂,“悲欣交集”四字手书写于10月10日下午,写在一用过的字纸上,字迹仍旧有力。令人感谓的是弘一法师落笔时的超脱随意,这份对后人而言极为重要的手书在他似信手拈来。
[ Last edited by yaoxin on 5-2-2005 at 06:09 PM ] |
|
|
|
|
|
|
|
|
|
|

楼主 |
发表于 12-7-2004 07:00 PM
|
显示全部楼层
《十六言对联》

[ Last edited by yaoxin on 5-2-2005 at 06:09 PM ] |
|
|
|
|
|
|
|
|
|
|

楼主 |
发表于 12-7-2004 07:02 PM
|
显示全部楼层
《十言对联》

[ Last edited by yaoxin on 5-2-2005 at 06:10 PM ] |
|
|
|
|
|
|
|
|
|
|

楼主 |
发表于 12-7-2004 07:03 PM
|
显示全部楼层
再接再勵﹗<<如来普贤八言联>>

[ Last edited by yaoxin on 5-2-2005 at 06:10 PM ] |
|
|
|
|
|
|
|
|
|
|

楼主 |
发表于 12-7-2004 07:05 PM
|
显示全部楼层
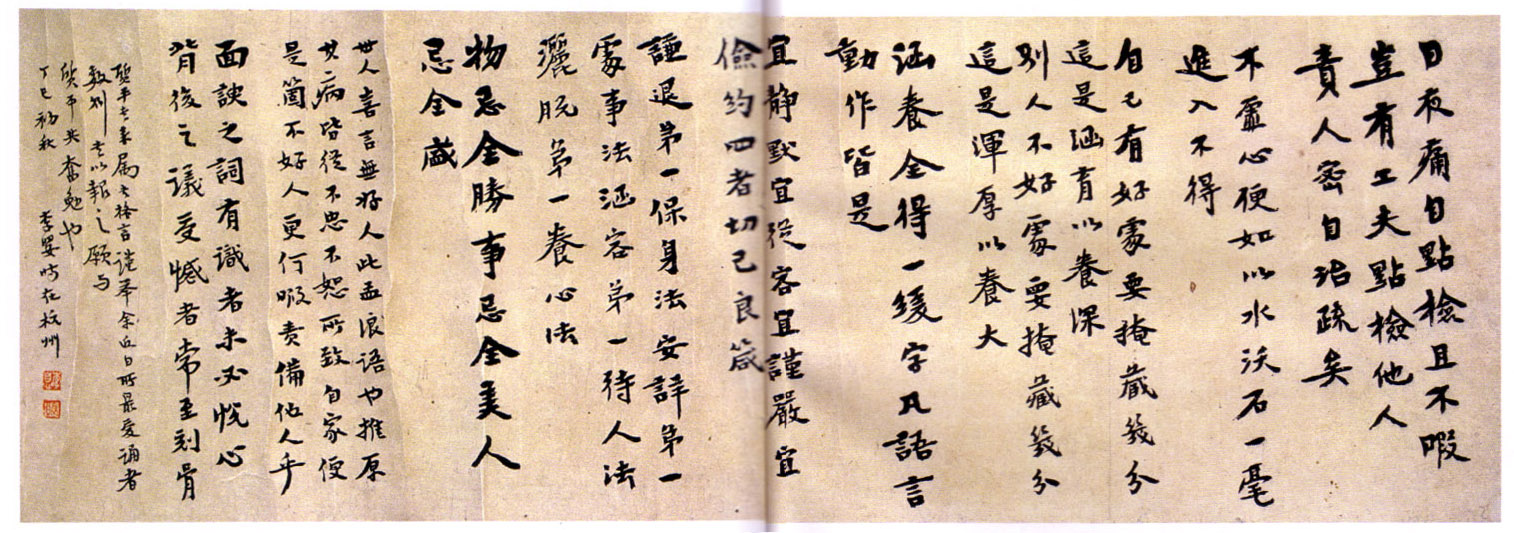
为刘质平书格言卷 18.3cmX57cm 1917年作 平湖弘一大师纪念馆藏
图片选自中国书法在线

[ Last edited by yaoxin on 5-2-2005 at 06:11 PM ] |
|
|
|
|
|
|
|
|
|
|

楼主 |
发表于 12-7-2004 07:12 PM
|
显示全部楼层
轉載﹕
弘一大师遗墨的保存及其生活回忆
[center]刘质平[/center]
先师李叔同先生(法号弘一)的书法,素为垄林所重。自戊午夏出家,至王午秋圆寂,前后二十五年间所写大件精品墨宝,为数无多。就余所忆,略分述如左(片段佛经,佛号,佛偈以及小件精品,概不列入):
甲 佛经类
一《四分律比丘戒相表记》,书本式,此书将四分律文,制为表解,为先师佛学著作上最伟大的作品,手自书写,已石印二次,稿存穆藕初居士处。曾遗嘱命余于他逝后勿开追悼会、造塔及做其他纪念之事。「倘欲做一事业,与余为纪念者,先将《四分律比丘戒相表记》印二干册。此书可为余出家以后最大之著作。故宜流通,以为纪念也。」(遗嘱原语)
二金刚经、药师经、心经等,已石印。
三《佛说阿弥陀经》,屏条式,五尺整张大小,共十六页。每页六行,每行二十字,分十六天写成,为先师生平最重要墨宝。余亲自磨墨牵纸,观其书写。
四《佛说五大施经》,屏条式,长四尺,共四页,每页三行,每行十五字。
五《华严经普贤行愿品赞偈》,书本式,用北魏书体写成,每字外有红线方框,极为整齐精美。
乙 对联类
壬申(一九三一年),在镇海龙山伏龙寺。先师曾对余言:「每次写对都是被动,应酬作品,似少兴趣。此次写佛说阿弥陀经功德圆满以后,还有余兴,愿自动计划写一批字对送你与弥陀经一起保存。」命余预作草稿,以便照样书写,共一百副。
写毕又言:「为写对而写对,对字常难写好,有兴时而写对,那作者的精神、艺术、品格、自会流露在字里行间。此次写对,不知为何,愈写愈有兴趣,想是与这批对联有缘,故有如此情境。从来艺术家有名的作品,每于兴趣横溢时,在无意中作成。凡文词、诗歌、字画、乐曲、刷本,都是如此。」
丙 立轴类
一、赞佛偈长五尺,分八行七行五行三种。每行分二十字二十八字二种边款独立一长行,山名、地名、寺名、院名、笔名,全部写上,有赞释迎牟尼佛偈、阿弥陀佛偈、观世间菩萨偈、地藏菩萨偈、弥勒菩萨偈、说戒回向偈、发愿回向偈等九页。(编者按:今仅存入赞阿弥陀佛偈》一幅,见本纪念集)
二、清凉歌词,长五尺,分清凉、山色、花香、世梦、观心五页,因歌词长短不同,每页行数各异。曲谱由帅生四代费七年余光阴作成。已在开明书店出版,为先师出家后一部传世的佛学声乐书。
丁 屏条类
一、学道四箴(略称四大颂——编者)并序,分大智如愚、大巧若拙、大音希声、大器晚成四页。长五尺,每页六行,每行二十二字。下分别具澄停、灵芝、慈藏、龙音四院及论月,髻明,如理、为炬四笔名。
二、格言,自四言起至十言止七种。每种各用一个不同印章,分作三集集。每集四十条、每条各写一个不同笔名,共一百二十个。
戊 杂件类
一、华严集朕三百,书本式。先师在上虞法界寺时、将华严经偈句,集为联语。费半年余光阴,集成三百余联,分写二集、已由开明书店石印行世。(编者按:《华严集联三百》原稿,现由刘质平先生之子刘雪阳保存。前后有名家经亨颐,马一浮题词。)
用笔用墨与写法
先师用笔,只需羊毫,新旧大小不拘;其用墨则甚注意。民十五后,余向友人处,访到乾隆年制陈墨二十余锭奉献。师于有兴时自写小幅,大幅则须待余至始动笔。余在寺院,夜半后闻云版即起,盥洗毕,参加众僧早课。早餐后,拂晓,一手持经,一手磨墨。未磨前,砚池用清水洗净。磨时不许用力,轻轻作圆形波动,且不性急,全副精神贯注经上。不觉间,经书毕读,而墨亦浓矣。
先师所写字幅,每幅行数,每行安数,由余预先编排。布局特别留意,上下左右,留空甚多。师常对余言:字之工拙,占十分之四:而布局却占十分之六。写时闭门,除余外,不许他人在旁,恐乱神也。大幅先写每行五字。从左至右,如写外国文。余执纸,口报字;师则聚精会神,落笔迟迟,一点一划,均以全力赴之。五尺整幅,须二小时左右方成。
师曾对余言,艺术家作品,大都死后始为人重视,中外一律。上海黄宾虹居士(第一流鉴赏家)或赏识余之字体也。
保存墨宝之经过
先师与余,名虽师生,情深父子。回忆民元冬季、天大雪,积尺许。余适道作一曲,就正于师,经师细阅一过,若有所思;注视余久,余愧恧,几置身无地。师忽对余言:「今晚八时三十五分,赴音乐教室,有话讲」。余唯唯而退。届时前往,风狂雪大,教室走廊,已有足迹,似有人先余而至。但教室门闭,声息全无。余鹄立廊下,约十余分钏,室内电灯忽亮,门开师出,手持一表,言时间无误,知汝尝风雪之味久矣,可去也!余当时不知所以,但知从此师生之情义日深。每周课久指导二次,并介绍余至美籍鲍乃德夫人处习琴。
余家贫,留东时最后数月费用,由师供给。师函有云:「余虽修道 念切,然决不忍置君于度外。此款倘可借到,余再入山。如不能借到,余仍就职至君疆毕业时止,君以后可以安心求学,勿再过虑……」师恩之深如此,余不忍以一求学之故,迟师修道之期,乃于民七夏返国,而师亦于是夏出家矣。
师恩厚,无以为报。出家后,许余供养,心稍安。先师复函,常附墨宝二束,一命余结缘,一赐余保存。二十余年来,积品盈千,均由苏帮张云伯裱家装池,安箱十二口,用独面樟板制成,特辟一室保存。
民二六秋,日寇掷弹海宁,势危,友朋约暂避,顷刻间未能将全部作品天地轴截去,至今成为憾事。余所携字件,中间虽经日寇盗匪踏及水浸日晒,种种损害,但精品保存至今,一件无缺,亦不幸中之大幸也。惟余以此,不能远出任职,绝粮兰溪乡间,窘甚。嗣金华陷敌,乃作小贩湖口,迭经艰险,始能将恩师精品保全。所异余已年老,此后保趣,将成问题。昔先师西画,出家前原送北平国立艺专保存。民十二年冬,余至北平考察世术教育时已知一帧无存,可叹孰甚;
先师在俗,咸推为我国近代最伟大这艺术家。入山后,发愿毕生精研戒法,几无日不在律藏中探讨精微,发扬光大,为元明清七百余年南山律宗复兴之祖,在我国佛教史上,自有其崇高之地位。
先师的生活情况
先师入山初期,学头陀苦行,僧衲简朴,赤脚草履,不识者不知其为高僧也。中期身体较弱,衣服稍稍留意。晚年身体更弱,乃命余代制骆驼毛袄裤,以御寒冷。先师所用僧服,大都由余供奉。尺寸函开示,照单裁制。回忆先师五十诞辰时,余细数其蚊帐破洞,有用布补,有用纸糊,坚请更换不许。人闽后,以破旧不堪再用,始函命在沪三友实业社,另购透风纱帐替代。为僧二十五载,所穿僧服,寥寥数套而已。
先师第至一寺院,住持之尊敬招待,实所罕见。回忆上虞法界寺然庆法师,镇海伏龙寺诚一法师之迎请情形,至今犹使余肃然起敬。余在二寺,各住二月有余,见其日常供养周到,体贴入微,且始终如一,完全出于至诚。而先师亦处处留神,因应适宜。某次,由甬同行至杭州松木场弥陀寺,不竟日即移住虎跑定慧寺。余问故,答以「无缘」,师之见机如此。
先师出家后,曾生大病三次。第一次在上虞法界寺,病未痊,被甬僧安心头陀跪请去西安弘法。师被迫,允舍身,有遗嘱纸付余。余以其不胜跋涉,在甬轮上设法救回,自轮船三楼负师下,两人抱头大哭。宁波同事,至今传为笑谈。第二次病于泉州草庵。据师函示:「九死一生、为生平所未经历」后至厦门经黄丙丁医学博士,疗治三个月始愈。时师因著作未竣,故乐于医治。
迨第三次病于泉州养老院,师则以功德已圆满,决心往生。谢绝医药,并预知迁化日期,曾致函夏师丐与余二人诀别云:
“朽人已于九月初四日迁化,曾赋二偈,附录于后:君子之交,其淡如水。执象而求,咫尺千里。问余何适,廓尔亡言。华枝春满,天心月圆。”至人境界,固异寻常也。
--------------------------------------------------------------------------------
编者按:弘一大师在俗门人中,以画像丰子恺,音乐家刘质平最为知名,而与刘质平因缘尤深。故刘氏得大师墨宝独多,且爱护备至。一九八0年冬,北就法源寺举办「弘一大师诞生百周年书法金石音乐展」时,展出大伯书法,多数出于刘氏藏品,由其子刘雪阳送京展出者。刘质平生前曾于上海、福州,举办弘一大师书展多次,均博得中外人士之好评。质平先生已于一九七八年谢世,本文系根据一九四六年福州油印《弘一大师遗墨展览会特刊》上刘质平所作《弘一大师的遗墨》与《弘一大师的史略》二文,整理压缩而成,姑用此题,恐有遗漏不妥之外,读者谅之。

[ Last edited by yaoxin on 5-2-2005 at 06:11 PM ] |
|
|
|
|
|
|
|
|
|
|

楼主 |
发表于 12-7-2004 07:14 PM
|
显示全部楼层
与刘质平书 1918年作 22.7cmX12.5cm 平湖弘一大师纪念馆藏
图片选自中国书法在线

[ Last edited by yaoxin on 5-2-2005 at 06:11 PM ] |
|
|
|
|
|
|
|
|
|
|

楼主 |
发表于 12-7-2004 07:22 PM
|
显示全部楼层
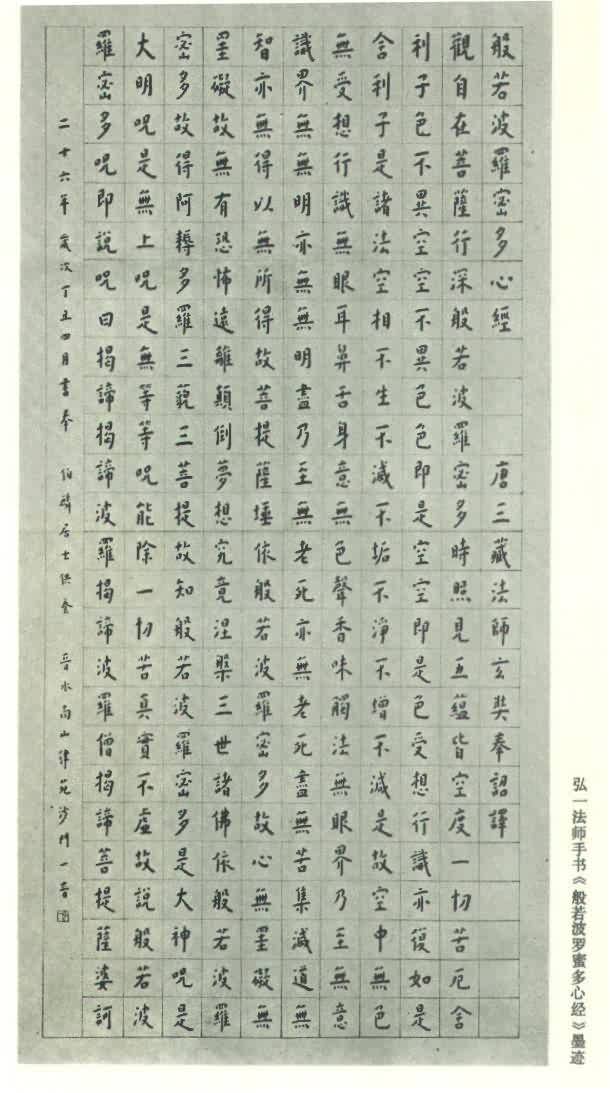
弘一法师手书《般若波罗蜜多心经》墨迹

[ Last edited by yaoxin on 5-2-2005 at 06:13 PM ] |
|
|
|
|
|
|
|
|
|
|

楼主 |
发表于 12-7-2004 07:25 PM
|
显示全部楼层
弘一法师手书「以戒为师」、「佛光」等墨迹

[ Last edited by yaoxin on 5-2-2005 at 06:12 PM ] |
|
|
|
|
|
|
|
|
|
|

楼主 |
发表于 12-7-2004 07:32 PM
|
显示全部楼层
弘一法师在俗时临汉碑及天发神谶碑墨迹

[ Last edited by yaoxin on 5-2-2005 at 06:12 PM ] |
|
|
|
|
|
|
|
|
|
|
发表于 13-7-2004 02:52 PM
|
显示全部楼层
|
弘一大師真神人也。只不过他曾說学書須从篆書入門,你有什么看法嗎? |
|
|
|
|
|
|
|
|
|
|

楼主 |
发表于 13-7-2004 06:03 PM
|
显示全部楼层
我的看法是﹐無論哪一種書體﹐只要能吸引到初學者﹐就是很好的開始了。就有如中小學時期硬性的得要交大小楷作業﹐我看沒有幾個同學是自願或樂意的。
一旦起了興趣﹐我想就比較容易深入的去了解和臨習書法﹐那時再來真正地“縱橫”每種書體﹐不論甲骨文﹑大小篆﹑八分隸或真楷﹐乃至行或草書﹐就會其樂無窮。
在這個年代﹐毛筆不再是主流的書寫工具﹐取而代之的是原子筆甚至電腦打印。如今在本地﹐想要找一個會欣賞書法的朋友也難。
mywuneng﹐你是住在哪兒﹖有沒有參加什麼書藝活動嗎﹖ |
|
|
|
|
|
|
|
|
|
|
发表于 15-7-2004 07:13 PM
|
显示全部楼层
我住在KL,不过差不多每個星期都会回PG探我的honey。
書藝活動?? 上面不是说了我是无師自通的嗎?反而是你如果知道什么地方有書藝活動的话,记得要通知一声哦!
老实说,如果現在才來拜明師,再从基本功从头学起会不会太迟呢? |
|
|
|
|
|
|
|
|
|
|

楼主 |
发表于 15-7-2004 09:51 PM
|
显示全部楼层
原來你和我一樣﹐我也是人在KL﹐但我通常是每個月回PG一次﹐明天可能會回去。
我相信有心不怕遲﹐我本身也是在Form5時才“拜師學藝”﹐我的弟弟也是在念大專時才去學。但是﹐要找一位好的啟蒙老師並不容易﹐而且有些收費簡直是嚇死人。。。。。。
如果你想基本功从头学起﹐我提議你去找檳城書藝學會的駱平山老師﹐他是一位很謙虛又有內涵學問的書法老師。而且檳城書藝學會的收費也很合理﹐以前我在中學生時在那兒學書法﹐每個月才繳付RM15。 |
|
|
|
|
|
|
|
|
|
|
发表于 5-1-2005 11:34 PM
|
显示全部楼层
|
|
|
|
|
|
|
|
|
|

楼主 |
发表于 18-1-2005 04:56 PM
|
显示全部楼层
昕欣 于 5-1-2005 23:34 说 :
请问,除了槟城以外,在KL,那里可以拜师学艺呢?
很喜歡您的名字﹐與在下有些淵源。
在KL﹐我聽說馬大華文學會﹐拉曼大學﹐一些會館等都有老師在教書法﹔一些本地的書法家﹐如謝豪杰先生﹐陳韻森女士也有開班授課。 |
|
|
|
|
|
|
|
|
|
|
发表于 3-2-2005 03:11 AM
|
显示全部楼层
學過就短短幾個月, 所以不太敢講我是學過的, 而且還是臨摹, 結構都沒拿好來...
看來, 我只可以歸類為喜歡看'寫'作的人...只是發覺這裡喜歡書法的人好少喲 |
|
|
|
|
|
|
|
|
| |
本周最热论坛帖子
|