|
|
发表于 23-3-2010 08:29 PM
|
显示全部楼层
回复 walrein_lim88
报考了... 是不是觉得我不适合拿呢?..你是哪一年的?以前考到怎样?
对了 ...
whyyie 发表于 23-3-2010 08:23 PM 
想问你下,你further maths T读到哪里了? |
|
|
|
|
|
|
|
|
|
|
发表于 23-3-2010 08:29 PM
|
显示全部楼层
|
|
|
|
|
|
|
|
|
|
发表于 23-3-2010 08:55 PM
|
显示全部楼层
|
|
|
|
|
|
|
|
|
|
发表于 23-3-2010 09:02 PM
|
显示全部楼层
回复 204# whyyie
看不到话,按只看该作者。。 |
|
|
|
|
|
|
|
|
|
|
发表于 5-4-2010 04:45 PM
|
显示全部楼层
|
|
|
|
|
|
|
|
|
|
发表于 5-4-2010 07:19 PM
|
显示全部楼层
solve 3sinA=>sec A
數學神童 发表于 5-4-2010 04:45 PM 
你用CURVE SKETCHING吧~~应该·就·可以SOLVE了· |
|
|
|
|
|
|
|
|
|
|
发表于 5-4-2010 07:43 PM
|
显示全部楼层
回复 201# walrein_lim88
敢问walrein_lim88, 你的 FMT 是自修的吗? |
|
|
|
|
|
|
|
|
|
|
发表于 5-4-2010 08:31 PM
|
显示全部楼层
回复 207# walrein_lim88
那么我可不可以用analytical method呢? |
|
|
|
|
|
|
|
|
|
|
发表于 5-4-2010 09:12 PM
|
显示全部楼层
|
|
|
|
|
|
|
|
|
|
发表于 5-4-2010 09:47 PM
|
显示全部楼层
回复 walrein_lim88
那么我可不可以用analytical method呢?
數學神童 发表于 5-4-2010 08:31 PM 
可以啊。。只是我比较喜欢CURVE SKETCHING的办法,比较直接。。容易找到答案 |
|
|
|
|
|
|
|
|
|
|
发表于 6-4-2010 12:22 AM
|
显示全部楼层
given that
sin a + sin b + sin y = 0
and
cos a + cos b + cos y = 0
Evaluate cos (a-b) + cos (b-y) + cos (y-a) |
|
|
|
|
|
|
|
|
|
|
发表于 6-4-2010 12:16 PM
|
显示全部楼层
given that
sin a + sin b + sin y = 0
and
cos a + cos b + cos y = 0
Evaluate cos (a-b) + c ...
白羊座aries 发表于 6-4-2010 12:22 AM 
 |
|
|
|
|
|
|
|
|
|
|
发表于 7-4-2010 04:32 PM
|
显示全部楼层
solve
i)tan x <cox x and
ii)2sin x >(square root 5)cox x
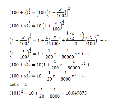
expand (100+x)^(1/2).hence,find the value of (101)^(1/2) |
|
|
|
|
|
|
|
|
|
|
发表于 7-4-2010 09:25 PM
|
显示全部楼层
solve
i)tan x (square root 5)cox x
expand (100+x)^(1/2).hence,find the value of (101)^(1/2)
數學神童 发表于 7-4-2010 04:32 PM 
 |
|
|
|
|
|
|
|
|
|
|
发表于 7-4-2010 09:31 PM
|
显示全部楼层
至于INEQUALITY的:
一样,USING GRAPHICAL METHOD,你可以直接找到答案了。。。 |
|
|
|
|
|
|
|
|
|
|
发表于 7-4-2010 10:36 PM
|
显示全部楼层
至于INEQUALITY的:
一样,USING GRAPHICAL METHOD,你可以直接找到答案了。。。
walrein_lim88 发表于 7-4-2010 09:31 PM 
为什么r substitution找不到答案? |
|
|
|
|
|
|
|
|
|
|
发表于 7-4-2010 10:37 PM
|
显示全部楼层
|
|
|
|
|
|
|
|
|
|
发表于 7-4-2010 10:41 PM
|
显示全部楼层
为什么r substitution找不到答案?
白羊座aries 发表于 7-4-2010 10:36 PM 
不是很明白你的问题。。。。 |
|
|
|
|
|
|
|
|
|
|
发表于 7-4-2010 10:49 PM
|
显示全部楼层
whyyie 发表于 7-4-2010 10:37 PM 
重点还是要SKETCH。。。可是我这里SKETCH不到,很难SHOW出WORKING来~ |
|
|
|
|
|
|
|
|
|
|
发表于 7-4-2010 11:26 PM
|
显示全部楼层
回复 220# walrein_lim88
找到了, 谢谢帮忙 |
|
|
|
|
|
|
|
|
| |
本周最热论坛帖子
|