|
|
发表于 19-10-2010 10:23 PM
|
显示全部楼层
你的S是Sum to 什么???
kelfaru 发表于 19-10-2010 10:15 PM 
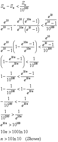
sum to infinity |
|
|
|
|
|
|
|
|
|
|
发表于 19-10-2010 10:26 PM
|
显示全部楼层
话说你这些题目不应该是STPM的standard...
Allmaths 发表于 19-10-2010 10:18 PM 
不是吗??!!!
那我不知道是要高兴还是伤心的。。。这些是老师在考前给我们的'trial' question
他说。。。。for your information,the real exam(final) will be much more difficult...
 |
|
|
|
|
|
|
|
|
|
|
发表于 19-10-2010 10:29 PM
|
显示全部楼层
不是吗??!!!
那我不知道是要高兴还是伤心的。。。这些是老师在考前给我们的'trial' question
他 ...
evildevil7n 发表于 19-10-2010 10:26 PM 
其实我是说question 2啦...不要酱紧张... |
|
|
|
|
|
|
|
|
|
|
发表于 19-10-2010 10:36 PM
|
显示全部楼层
其实我是说question 2啦...不要酱紧张...
Allmaths 发表于 19-10-2010 10:29 PM 
这就表示STPM的standard的问题我还不能回答----------》更紧张好不好{:2_69:} |
|
|
|
|
|
|
|
|
|
|
发表于 19-10-2010 10:39 PM
|
显示全部楼层
这就表示STPM的standard的问题我还不能回答----------》更紧张好不好
evildevil7n 发表于 19-10-2010 10:36 PM 
我是说第二题不是STPM的standard... |
|
|
|
|
|
|
|
|
|
|
发表于 19-10-2010 11:09 PM
|
显示全部楼层
|
|
|
|
|
|
|
|
|
|
发表于 19-10-2010 11:15 PM
|
显示全部楼层
sum to infinity
evildevil7n 发表于 19-10-2010 10:23 PM 
 |
|
|
|
|
|
|
|
|
|
|
发表于 19-10-2010 11:43 PM
|
显示全部楼层
(a) A circle which lies inthe first quadrant touches the x-axis,y-axis and the straight line5x-12y-24=0. Find the equation of the circle.
(b) PO and RS are two chords of the rectangular hyperbola xy=c^2and PQ and RS are perpendicular to each ohter. Given that thecoordinates of P,Q,R, and S are (cp,c/p),(cq,c/q),(cr,c/r)and (cs,c/s)respectively. Show that PR is perpendicular to QS.
evildevil7n 发表于 19-10-2010 08:49 PM 
a) let center = (a,b)
(x-a)^2 + (y-b)^2 = r^2
touch y-axis (0,b)
(0-a)^2 + (b-b)^2 = r^2
therefore , a=r
touch x-axis (a,0)
(a-a)^2 + (0-b)^2 = r^2
therefore b=r
and a=b=r
new center = (a,a) , radius = a
touch 5x-12y-24=0
l [5(a) -12(a) -24] / [5^12 +12^12]^(1/2) l = radius
l (-7a-24) / 13 l = a
l (-7a-24) l = 13a
since a must be a positive number (1st quadrant) ,therefore l (-7a-24) l = -(-7a-24) = 7a+24
7a+24=13a
6a=24
a=4
(x-4)^2 + (y-4)^2 = 16
=========================================
gradient of PQ = [c/p-c/q] / [cp-cq]
= [(cq-cp)/pq] /[cp-cq]
=[-(cp-cq)/pq] / [cp-cq]
= -1/pq
gradient of RS = -1/rs
PQ perpendicular to rs , (-1/pq)(-1/rs) =-1
1/pqrs = -1 -----@
m3 , gradient of PR = -1/pr
m4 , gradient of QS = -1/qs
m3m4 = (-1/pr)(-1/qs)
= 1/pqrs
from @ , 1/pqrs = -1
m3m4 = -1
therefore , PR is perpendicular to QS. |
|
|
|
|
|
|
|
|
|
|
发表于 20-10-2010 12:06 PM
|
显示全部楼层
我有两个题目不会做,请求各位的帮忙 感激不尽!
A curve is defined by parametric equations
x=t^3 -6t +4 , y= t -3+ 2/t
Find the equations of the normals to the curve at the points where the curve meets the x-axis.
Hence, find the coordinates of the point of the intersection of the normals.
===================================================
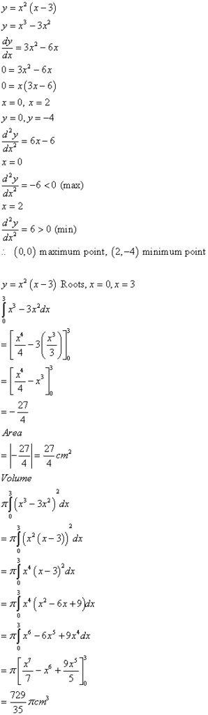
Find the coordinates of the stationary points on the curve
y= x^2 (x-3) and determine their nature
Sketch the curve
Find the area of the region bounded by the curve and the x-axis. Calculate the volume of the solid formed when the region is rotated through 2pi radian about the x-axis. |
|
|
|
|
|
|
|
|
|
|
发表于 20-10-2010 01:00 PM
|
显示全部楼层
我有两个题目不会做,请求各位的帮忙感激不尽!
A curve is defined by parametric equations
...
Oskar 发表于 20-10-2010 12:06 PM 
check看对不对,我不知道有没有误解题目的意思~
 |
|
|
|
|
|
|
|
|
|
|
发表于 20-10-2010 01:26 PM
|
显示全部楼层
Find the coordinates of the stationary points on the curve
y= x^2 (x-3) and determine their nature
Sketch the curve
Find the area of the region bounded by the curve and the x-axis. Calculate the volume of the solid formed when the region is rotated through 2pi radian about the x-axis.
 |
|
|
|
|
|
|
|
|
|
|
发表于 20-10-2010 02:56 PM
|
显示全部楼层
Q: y=x+1/x
x^2 + 1/(x^2)
express in terms y
怎样做..?? |
|
|
|
|
|
|
|
|
|
|
发表于 20-10-2010 02:58 PM
|
显示全部楼层
|
|
|
|
|
|
|
|
|
|
发表于 20-10-2010 03:02 PM
|
显示全部楼层
Q: y=x+1/x
x^2 + 1/(x^2)
express in terms y
怎样做..??
佩琪 发表于 20-10-2010 02:56 PM 
y=x+1/x
y^2 = (x+1/x)^2
y^2 = x^2 + 2 + 1/x^2
x^2 + 1/x^2 = y^2 - 2 |
|
|
|
|
|
|
|
|
|
|
发表于 20-10-2010 03:57 PM
|
显示全部楼层
|
|
|
|
|
|
|
|
|
|
发表于 20-10-2010 06:37 PM
|
显示全部楼层
原来...是我把它复杂化了...
我的六分
佩琪 发表于 20-10-2010 03:57 PM 
你的题目应该是找4个roots, power of 4的开始,过后用这个identity subst 进去~
前面一错,后面的BYE BYE~ |
|
|
|
|
|
|
|
|
|
|
发表于 20-10-2010 07:50 PM
|
显示全部楼层
|
|
|
|
|
|
|
|
|
|
发表于 20-10-2010 08:17 PM
|
显示全部楼层
回复 2067# evildevil7n
介意上传你的trial么? |
|
|
|
|
|
|
|
|
|
|
发表于 20-10-2010 11:37 PM
|
显示全部楼层
a) let center = (a,b)
(x-a)^2 + (y-b)^2 = r^2
touch y-axis (0,b)
(0-a)^2 + (b-b)^2 = r^2 ...
peaceboy 发表于 19-10-2010 11:43 PM 
强,我完全没想到 |
|
|
|
|
|
|
|
|
|
|
发表于 20-10-2010 11:40 PM
|
显示全部楼层
请问下你的题目是你学校trial paper吗? 有点可爱的说
xiang911 发表于 20-10-2010 07:50 PM 
怎么可爱的说? |
|
|
|
|
|
|
|
|
| |
本周最热论坛帖子
|