|
|
发表于 18-10-2010 08:35 PM
|
显示全部楼层
我要像你们一样哈哈
hongji 发表于 18-10-2010 08:32 PM 
有恒心一定没问题... |
|
|
|
|
|
|
|
|
|
|
发表于 18-10-2010 08:38 PM
|
显示全部楼层
回复 2041# Allmaths
好。。不明白可以问你们 |
|
|
|
|
|
|
|
|
|
|
发表于 18-10-2010 08:46 PM
|
显示全部楼层
麻烦大家帮我解答~希望大家可以帮我做出完整的做法~谢谢^^~
3)Simplify lg₂8x2y - 1/2 lg₂y⁴/16 + 3 lg₂x3y2
wuhu 发表于 18-10-2010 07:17 PM 
我猜你是应该要写: Simplify lg₂8x^2y - 1/2 lg₂y⁴/16 + 3 lg₂x^3y^2
log_2 (8x^2y)-(1/2)log_2(y^4/16)+3log_2(x^3y^2)=log_2(8x^2y)-log_2(y^2/4)+log_2(x^9y^6)
=log_2[(8x^2y)(x^9y^6)/(y^2/4)]
=log_2[32x^11y^5]
=log_2 32+log_2 (x^11y^5)
=5+log_2 (x^11y^5)
Solve the simultaneous equation
x+2y=5
(iii) 2^(x+y) =32
x+2y=5
x=5-2y ---eq 1
2^(x+y)=32 ---eq 2
sub eq 1 into eq 2,
2^(5-2y+y)=2^5
5-y=5
y=0
sub y=0 into eq 1,
x=5-2(0)
x=5
solution: x=5, y=0 |
|
|
|
|
|
|
|
|
|
|
发表于 18-10-2010 09:02 PM
|
显示全部楼层
本帖最后由 Allmaths 于 18-10-2010 09:04 PM 编辑
麻烦大家帮我解答~希望大家可以帮我做出完整的做法~谢谢^^~
If x^1/2 - 2x^ -1/2 =a, find in terms of a.
(i) x^1/2 + 2x^-1/2
wuhu 发表于 18-10-2010 07:17 PM 
(√x-2/√x)^2=a^2
x-4+4/x=a^2
x+4/x=a^2+4 ---eq 1
(√x+2/√x)^2=x+4+4/x
=x+4/x+4
sub eq 1, =a^2+4+4
=a^2+8
(√x+2/√x)^2=a^2+8
√x+2/√x=±√(a^2+8)
since √x+2/√x>0,
∴√x+2/√x=√(a^2+8) |
|
|
|
|
|
|
|
|
|
|
发表于 19-10-2010 01:35 AM
|
显示全部楼层
回复 2034# wuhu
2) x^1/2 - 2x^ -1/2 =a
x + 4/x - 2 (x^1/2)(2x^ -1/2 )=a^2
x + 4/x = a^2+4
( x^1/2 + 2x^-1/2)^2 - 2 (x^1/2)(2x^ -1/2 ) = a^2+4
( x^1/2 + 2x^-1/2)^2 = a^2 +8
x^1/2 + 2x^-1/2 = ( a^2 +8)^(1/2)
5) a=45000
r=1.12
ar^(n-1) > 500000
45000(1.12)^(n-1)> 500000
然后自己来 |
|
|
|
|
|
|
|
|
|
|
发表于 19-10-2010 12:39 PM
|
显示全部楼层
麻烦大家帮我解答~谢谢~
Determine the solutions to the quadratic equation z²+(6+5i)z-4+6i=0
希望大家可以做出完整的答案~谢谢 ~ |
|
|
|
|
|
|
|
|
|
|
发表于 19-10-2010 12:40 PM
|
显示全部楼层
|
|
|
|
|
|
|
|
|
|
发表于 19-10-2010 12:40 PM
|
显示全部楼层
|
|
|
|
|
|
|
|
|
|
发表于 19-10-2010 12:43 PM
|
显示全部楼层
(√x-2/√x)^2=a^2
x-4+4/x=a^2
x+4/x=a^2+4 ---eq 1
(√x+2/√x)^2=x+4+4/x
...
Allmaths 发表于 18-10-2010 09:02 PM 
谢谢 ~ |
|
|
|
|
|
|
|
|
|
|
发表于 19-10-2010 12:44 PM
|
显示全部楼层
回复 wuhu
2) x^1/2 - 2x^ -1/2 =a
x + 4/x - 2 (x^1/2)(2x^ -1/2 )=a^2
x + 4/x = a^2+4
( x ...
peaceboy 发表于 19-10-2010 01:35 AM 
谢谢 ~ |
|
|
|
|
|
|
|
|
|
|
发表于 19-10-2010 03:59 PM
|
显示全部楼层
回复 wuhu
2) x^1/2 - 2x^ -1/2 =a
x + 4/x - 2 (x^1/2)(2x^ -1/2 )=a^2
x + 4/x = a^2+4
( x ...
peaceboy 发表于 19-10-2010 01:35 AM 
麻烦下这题我做很久了还是拿不到答案~麻烦你帮我解答下~希望你可以做出完整的做法给我~谢谢 ~
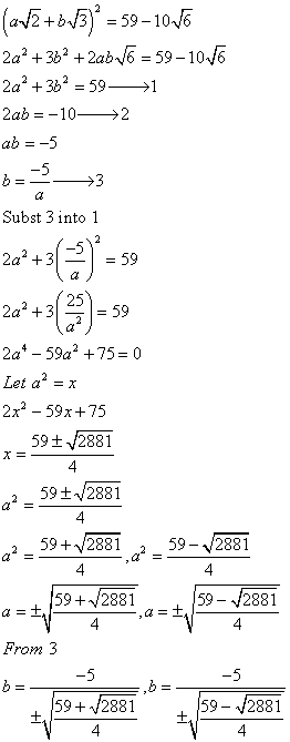
If (a√2+b√3)^2=59-10√6,find the values of a and b. |
|
|
|
|
|
|
|
|
|
|
发表于 19-10-2010 05:59 PM
|
显示全部楼层
麻烦下这题我做很久了还是拿不到答案~麻烦你帮我解答下~希望你可以做出完整的做法给我~谢谢~
If (a√ ...
wuhu 发表于 19-10-2010 03:59 PM 
如果用subst方法应该拿到4个答案...
把答案subst回去看看有没有可以reject掉的... |
|
|
|
|
|
|
|
|
|
|
发表于 19-10-2010 07:04 PM
|
显示全部楼层
麻烦下这题我做很久了还是拿不到答案~麻烦你帮我解答下~希望你可以做出完整的做法给我~谢谢~
If (a√ ...
wuhu 发表于 19-10-2010 03:59 PM 
4个答案都可以接受~ |
|
|
|
|
|
|
|
|
|
|
发表于 19-10-2010 07:25 PM
|
显示全部楼层
z^2+(6+5i)z-4+6i=0
佩琪 发表于 19-10-2010 12:40 PM 
[ -(6+5i) +- [(6+5i)^2 -4(-4+6i)]^(1/2) ] / 2 =[ -6-5i+- [36-25+60i+16-24i ]^(1/2) ] / 2
=[ -6-5i +- [27+36i ]^(1/2)] / 2
let (a+bi)^2 = 27+36i
a^2 - b^2 +2abi = 27+36i
2ab=36
b= 18/a ---1
a^2 - b^2 = 27
a^2 - (18/a)^2 = 27
a^4 -27a^2 -324 =0
(a^2-36)(a^2+9)=0
a^2 = 36 , -9(rejected)
a^2=36
a= +- 6 , b=18/a
b= +-3
27+36i = (6+3i)^2 , (-6-3i)^2
[ -6-5i +- [27+36i ]^(1/2)] / 2 = [-6-5i +- [(6+3i)^2]^(1/2)] / 2
= [-6-5i +-(6+3i)]/2
= -i , (-12 -8i)/2
= -i , -6-4i
[ -6-5i +- [27+36i ]^(1/2)] / 2 = [-6-5i +- [(-6-3i)^2]^(1/2)] / 2
=[-6-5i -+(6+3i)]/2
= -i , -6-4i |
|
|
|
|
|
|
|
|
|
|
发表于 19-10-2010 07:28 PM
|
显示全部楼层
|
|
|
|
|
|
|
|
|
|
发表于 19-10-2010 07:35 PM
|
显示全部楼层
回复 2055# wuhu
偶不能接受这种不美的答案
我还以为你打错题目 |
|
|
|
|
|
|
|
|
|
|
发表于 19-10-2010 07:39 PM
|
显示全部楼层
本帖最后由 kelfaru 于 19-10-2010 07:43 PM 编辑
回复 2056# peaceboy
懒惰simplify,
有答案就可以~ |
|
|
|
|
|
|
|
|
|
|
发表于 19-10-2010 07:40 PM
|
显示全部楼层
感激你不尽~谢谢你~我总于知道我错在哪里了~你是怎样打出来那些做法的???真的是谢 ...
wuhu 发表于 19-10-2010 07:28 PM 
MathType (Trial 30天) |
|
|
|
|
|
|
|
|
|
|
发表于 19-10-2010 07:57 PM
|
显示全部楼层
回复 wuhu
偶不能接受这种不美的答案
我还以为你打错题目
peaceboy 发表于 19-10-2010 07:35 PM 
我的确打错过很多题目但这题绝对没打错 ~ |
|
|
|
|
|
|
|
|
|
|
发表于 19-10-2010 08:08 PM
|
显示全部楼层
我的确打错过很多题目但这题绝对没打错~
wuhu 发表于 19-10-2010 07:57 PM 
哪本书的作业? |
|
|
|
|
|
|
|
|
| |
本周最热论坛帖子
|