佳礼资讯网

 找回密码
 注册

ADVERTISEMENT

搜索
查看: 1288|回复: 4

帮帮忙,过程应该是怎样?

[复制链接]
发表于 29-8-2013 09:05 PM | 显示全部楼层 |阅读模式
1。,答案是3。
2。若 x+1 是 2X3 + 3X2 – 2k - 1的因式,求k 的值。答案是 0

有谁可以帮帮忙解答。。。谢谢。





回复

使用道具 举报


ADVERTISEMENT

 楼主| 发表于 30-8-2013 08:41 PM | 显示全部楼层
没有人可以帮忙吗?
回复

使用道具 举报

发表于 8-9-2013 03:51 PM | 显示全部楼层
我不懂对不对 ,
回复

使用道具 举报

发表于 9-9-2013 04:29 PM | 显示全部楼层

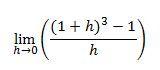
上面的解法不太對喔~
分母不能為零~

正解應是

20130909_162321.jpg
回复

使用道具 举报

发表于 9-9-2013 04:30 PM | 显示全部楼层
Happy_rainbow 发表于 30-8-2013 08:41 PM
没有人可以帮忙吗?



第一題
(1+h)^3要先展開

第二題是要用到因式定理~

照片己經付上~

看看喔~
回复

使用道具 举报

您需要登录后才可以回帖 登录 | 注册

本版积分规则

 

所属分类: 欢乐校园


ADVERTISEMENT


本周最热论坛帖子本周最热论坛帖子

ADVERTISEMENT



ADVERTISEMENT

ADVERTISEMENT


版权所有 © 1996-2026 Cari Internet Sdn Bhd (483575-W)|IPSERVERONE 提供云主机|广告刊登|关于我们|私隐权|免控|投诉|联络|脸书|佳礼资讯网

GMT+8, 11-4-2026 07:05 PM , Processed in 0.106104 second(s), 26 queries , Gzip On.

Powered by Discuz! X3.4

Copyright © 2001-2021, Tencent Cloud.

快速回复 返回顶部 返回列表